1. 서 론
2. 실험조건 및 분석방법
2.1 기본물성 및 침강실험조건
2.2 압밀 개시점 분석방법
3. 침강압밀특성 분석
3.1 침강압밀계수 분석
3.2 초기침강속도 분석
4. 압밀 개시간극비 분석
5. 결 론
1. 서 론
국내에서는 항만시설, 공항 조성, 항로 유지 등의 해안구조물 기초 공사에 해성점토와 같은 세립토를 매립재로 활용하고 있다. 세립토의 준설 매립에는 경제성과 효율성이 우수한 펌프준설선이 이용되며, 펌프준설선을 이용한 작업 시 세립토와 해수가 혼합되어 매우 높은 함수비를 갖는 투기조건이 형성된다. 높은 함수비의 투기조건에서 세립토는 침강과 자중압밀이 발생하며, 서로 다른 방법으로 거동하는 특성이 나타난다. 침강은 유효응력이 발현되지 않는 액체와 유사한 슬러리의 거동으로 자중압밀과 다른 특성을 보이는 것으로 알려져 있다(McRoberts & Nixon, 1976; Schiffman et al., 1988). 국내에서는 침강과 자중압밀을 실험적으로 접근하려는 연구로 Yano(1985)가 제안한 기법을 주로 활용하고 있다(Lee et al., 1999; Park, 2003; Jun & Yoo, 2009). 자중압밀은 Gibson et al.(1981)이 제안한 1차원 비선형 유한변형률 압밀이론을 활용한 연구가 활발하게 진행되었다(Yoo et al., 1998; Kim et al., 1999; Jung, 2005).
본 연구는 Yano(1985)가 제안한 실험적 방법으로 권역별 초기함수비에 따른 침강압밀계수와 초기침강속도를 분석하여 압밀이 시작되는 시점의 간극비 분석을 통해 자중압밀 개시점을 제시하였다.
2. 실험조건 및 분석방법
2.1 기본물성 및 침강실험조건
본 연구를 위하여 경기(인천) 및 새만금에서 채취한 서해안 시료 5개와 부산, 마산 인근의 경남시료 4개 그리고 광양, 여수 인근의 전남시료 3개 등 3개 권역의 세립토 시료를 이용하였다. 각 권역별 시료의 기본물성은 Table 1에 정리하였다. 침강실험은 투명아크릴 실린더 형태의 내경 9cm, 높이 100cm의 Column을 이용하였다. 실험은 시료의 균일한 함수비 분포를 유지하기 위해 Column 바닥에 Porus stone을 통하여 압축공기를 불어넣으면서, 계산된 혼합시료를 Column에 넣고, 충분히 교반 시킨 후 실시하였으며, 시간에 따른 압밀침하량의 측정은 Column 외벽에 눈금이 새겨진 줄자를 부착하여 침전계면을 읽음으로써 측정하였다.
Table 1.
Physical properties of fine grained soils
침강실험은 Table 2와 같이 초기함수비() 및 초기시료높이()를 변경하면서 각 시료별로 3~5회, 최대 20회까지 총 161회를 수행하였다.
Table 2.
Conditions of column test
2.2 압밀 개시점 분석방법
침강압밀실험을 통한 압밀 개시점 분석은 Yano(1985) 제안법(또는 Yano 제안식) 및 이를 활용한 Jun & Yoo(2009)의 연구를 참조하였다. 침강압밀실험 결과를 Fig. 2와 같이 각각의 함수비에 따라 양대수축적으로 작도하면 중간에 선형적인 침강압밀과정의 구간이 나타난다. 이 구간의 시작과 끝은 각각의 다른 초기함수비를 직선적으로 연결하여 시간(, )과 높이(, )를 구할 수 있다. 침강압밀과정 동안 선형적으로 형성되는 기울기를 침강압밀계수, 라 하며, Eq. (1)과 같이 표현된다.
즉, 침강압밀계수를 적용하면 침강압밀과정에서 시간에 따른 계면고가 Eq. (2)로 표현된다.
여기서, 은 t=1의 계면고로 실험조건별로 다르게 분석된다. 각 실험에서 토립자만의 높이를 나타내는 실질토량고, 를 산정하여 압밀시작과 종료시점의 계면고를 logH-log로 표시하면 Fig. 3과 같은 경향을 나타낸다. 이로부터 초기 계면고에 대한 실질토량고를 아래의 Eq. (3)과 같이 산정한다.
여기서, 는 압밀시점 =1일 때 계면높이이며, 는 ~의 기울기, 은 압밀종료 시 =1의 계면높이, =~의 기울기이다.
Fig. 3은 자중압밀시점(t0) 및 종점(t100)에 대한 계면고를 logH-log로 표현하면 직선관계를 나타내며, 임의의 압밀도를 갖는 임의의 시간(tu)에 대한 계면고와 실질토량고 관계도 직선관계에 있음을 의미한다. 따라서 따라서 자중압밀 종점의 직선관계를 이용하여 실질토량고에 대응하는 최대 압밀고(Hsf)를 산정할 수 있다.
자중압밀 시점(t0)에 대한 기울기가 자중압밀 종점(t100) 시의 기울기보다 적은 경향으로 계면고(H)가 크게 되면 자중압밀 시점 및 종점의 직선이 교차하게 되는 경우가 발생한다. 이는 자중압밀시점의 직선은 침강 및 퇴적단계에서 하부에서 퇴적고 상승에 따라 자중압밀이 진행되고 있음을 의미한다. 즉, 침강 및 퇴적단계에서 압밀단계가 시작되는 시간(t0)에서는 전 퇴적토의 평균압밀도가 0을 의미하지 않는다. 따라서 계면고-실질토량고 관계에서의 직선의 기울기는 1 이하가 되어야 한다.
압밀 개시점은 Fig. 4와 같이 시간-계면고의 양대수축척에서 침강압밀과정을 나타내는 Eq. (2)의 연장선상에 있게 된다. 자중압밀이 시작될 때는 함수비 분포가 동일하므로 Eq. (3)에서 이 되어 가 된다. 그러므로 가상의 압밀개시점은 Eq. (4)와 같이 나타낼 수 있다. 압밀개시점에서 초기간극비()는 와 을 사용하여 Eq. (5)와 같이 산정하였다.
여기서, (체적비)는 이다.
3. 침강압밀특성 분석
3.1 침강압밀계수 분석
각 권역별 세립토를 대상으로 수행한 침강압밀실험에서 분석한 침강압밀계수()를 투기 시의 초기함수비()에 따라 Fig. 5에 나타내었다. 이를 회귀분석하여 Table 3에 제시하였으며, 선형회귀분석에서 균질한 실트질 입경으로 구성되어 응집과정의 지체시간이 없어 타 지역에 비해 매우 큰 침강압밀계수 분포를 나타내는 인천접근항로(S4)는 제외하였다.
Table 3.
Coefficient of consolidation-sedimentation analysis result
| Section | Linear regression equation | R-squared | |
| West Coast | this study | Cs=1.03×10-4·w00(%)+0.09 | R2 = 0.56 |
| Yano (1985) | Cs=1.96×10-4·w00(%) | R2 = 0.01 | |
| Kyung-nam | this study | Cs=8.62×10-5·w00(%)+0.10 | R2 = 0.77 |
| Yano (1985) | Cs=1.69×10-4·w00(%) | R2 = 0.01 | |
| Jeon-nam | this study | Cs=7.14×10-5·w00(%)+0.09 | R2 = 0.62 |
| Yano (1985) | Cs=1.53×10-4·w00(%) | R2 = 0.01 | |
Fig. 5와 같이 초기함수비에 따른 침강압밀계수는 Yano(1985)가 제안한 원점을 지나는 직선식보다 양(+)의 절편을 갖는 직선식에서 보다 높은 상관관계를 보여주고 있다. Table 3과 같이 절편이 0인 Yano 제안식은 결정계수(Coef. of determination, R2) 가 0.01로 분석되어 직선식의 상관성이 매우 미흡하게 나타났으나, 양(+)의 절편값을 갖는 선형회귀식은 결정계수(R2)가 0.56~0.77로 상대적으로 높은 상관성으로 분석되었다. 그러므로 원점을 지나는 직선식보다 절편을 갖는 선형회귀식으로 분석하는 것이 근사적으로 세립토의 초기함수비와 침강압밀계수의 관계를 잘 나타낼 수 있을 것으로 판단된다.
Fig. 5(d)에 각 권역별 초기함수비와 침강압밀계수로 분석한 선형 회귀식을 비교하였다. 경남권역과 전남권역은 유사한 기울기를 나타내며, 서해안권역은 상대적으로 큰 기울기를 보이고 있다. 직선식의 절편은 서해안권역과 전남권역은 같고, 경남권역이 서해안권역 및 전남권역에 비하여 크게 나타났다. 전남권역과 경남권역 결과처럼 함수비 조건에 따라 자중압밀에 미치는 영향은 유사하나 동일한 함수비 조건에서 침강압밀속도가 경남권역 세립토에서 전남권역 보다 더 빠른 속도를 보이고 있다.
서해안권역은 초기함수비 700%를 넘으면서 다른 권역에 비하여 초기함수비의 변화가 자중압밀거동에 큰 영향을 주며, 동일한 초기함수비조건에서 시간에 따른 침강압밀계수가 크게 나타나는 것으로 분석되었다. 이는 서해안권역 세립토가 실트질을 많이 포함하고 있어 경남 및 전남권역에 비하여 압밀진행 속도가 빠르기 때문이라 판단된다.
3.2 초기침강속도 분석
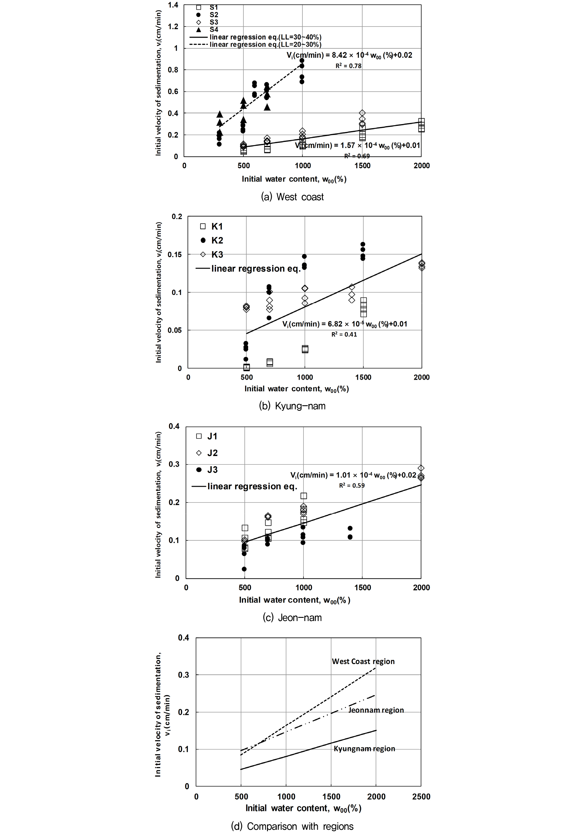
각 권역별로 침강압밀실험에서 침강퇴적과정이 종료되는 시점과 침강압밀과정 시작되는 시점에서 침하량을 소요시간()으로 나눈 초기침강속도()를 초기함수비()에 따라 Fig. 6과 Table 4에 나타내었다.
Table 4.
Initial velocity of sedimentation analysis result
Fig. 6(a)에서 서해안권역의 초기함수비 300~1,500%에서 초기침강속도는 0.05~0.88cm/min이며, 평균 0.31cm/min, 변동계수는 0.74로 나타났다. 시료의 액성한계 30%을 기준으로 초기침강속도는 시료에 따라 차이가 크게 나타나고 있어 변동계수 역시 크게 분석되었다. 특히, 액성한계 30% 이하의 물성을 갖는 두 지역 시료는 실트질 입자가 많이 포함되어 상대적으로 빠른 침강속도를 보이는 것으로 판단된다. 경남권역은 초기함수비 500~1,500%에서 초기침강속도가 0.001~0.366cm/min의 범위로 평균 0.10cm/min와 변동계수는 0.83으로 나타났다.
전남권역 세립토는 초기함수비 500~1,500%에서 초기침강속도가 0.02~0.22cm/min로 평균 0.13cm/min와 변동계수 0.32가 나타났다. 초기함수비 증가에 따라 초기침강속도가 커지는 경향은 모든 권역의 시료에서 나타났다.
Kynch(1952)의 간섭침전 이론에서 설명하는 것과 같이 토립자간의 간격이 상대적으로 가까운 낮은 초기함수비 조건에서 응집된 Floc 간의 상대적인 간섭이 발생하여 침강이 지연되는 경향에 기인된 것으로 판단된다. 한편 높은 초기함수조건에서 토립자간 간섭이 상대적으로 작아 토립자의 입경이 상대적으로 큰 서해안 권역 세립토가 큰 초기침강속도를 보이는 것으로 분석되었다.
4. 압밀 개시간극비 분석
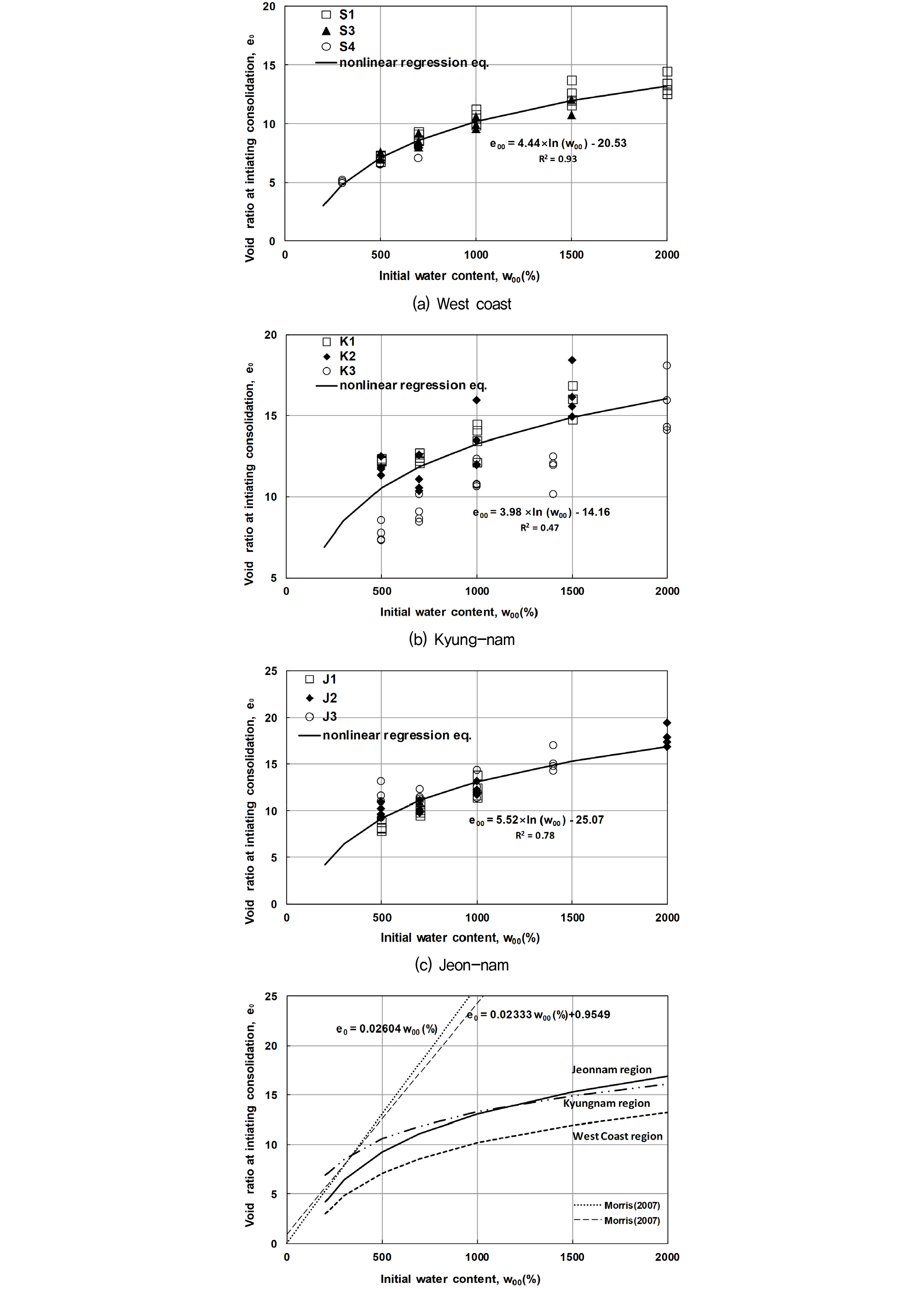
서해안권역의 S2 시료는 초기함수비()변화에 관계없는 경향을 보이고 있어, 이를 제외한 침강압밀실험결과로부터 Eq. (4)를 적용하여 압밀 개시시점을 분석하고, 이 때의 간극비를 Fig. 7과 Table 5에 나타내었다.
Table 5.
Void ration of initiating consolidation analysis result
| Section | Non-linear regression equation | R-squared |
| West Coast (kyung gi) | e0=4.44×ln(w00)-20.53 | R2 = 0.93 |
| Kyung-nam | e0=3.98×ln(w00)-14.16 | R2 = 0.47 |
| Jeon-nam | e0=5.52×ln(w00)-25.07 | R2 = 0.78 |
Fig. 7에서 보인 바와 같이 초기함수비 증가에 따라 압밀개시간극비가 증가하는 경향이 나타나며, 서해안권역 세립토는 초기함수비에 따라 비교적 2.13~14.16 범위의 큰 압밀 개시간극비를 보인다. 통일분류상 ML로 분류된 시료를 제외하고 초기함수비 2,000% 이상에서 압밀개시간극비는 수렴하는 경향을 보인다.
경남권역 세립토는 초기함수비 500~2,000% 범위에서 압밀개시간극비는 3.85~18.42 범위를 보이며, 평균 10.05 및 변동계수 0.40으로 분석되었다.
전남권역은 초기함수비 500~2,000% 범위에서 7.85~19.38의 압밀개시간극비로 평균 11.98과 변동계수 0.23으로 분석되었다.
Fig. 8은 초기 슬러리간극비()에 따른 압밀개시점의 간극비()를 도시하였다. 각 권역에서 초기 슬러리간극비가 증가함에 따라 일정하게 수렴하는 압밀 개시간극비는 서해안 세립토는 15~19, 경남권역 세립토는 21~25, 전남권역은 22~26으로 나타났다. 또한, 간극비 6.0~7.2 범위에서 초기 슬러리간극비와 압밀 개시간극비가 유사한 값을 보이며, 이는 Morris(2007)의 선형적인 관계식과 유사한 경향을 나타내고 있다.
Znidarcic(1999)는 초기 슬러리간극비가 8이상일 때 유효응력이 영인 상태가 될 때까지 침강이 발생한다고 발표하였으며, 본 연구에서도 유사한 경향을 보이지만 본 연구는 평균값을 적용한 결과로부터 산정하기 때문에 초기함수비가 증가함에 따라 오차가 커지는 것으로 판단된다.
5. 결 론
본 연구는 국내 준설매립에 사용되는 세립토의 침강압밀특성을 실험적으로 분석하였다. Yano(1985)가 제안한 특성값으로 서해안, 전남, 경남 3권역의 세립토에 대한 침강특성치를 검토하고, 그 경향을 회귀식으로 분석하였으며, 연구의 주요결과는 다음과 같다.
(1) 서해안, 전남, 경남 3권역 준설매립현장에서 채취한 세립토 시료에 대한 침강압밀실험을 수행하고, 초기침강속도 및 침강압밀계수의 경향성을 분석하였다. 경남 및 전남권역 세립토는 초기함수비에 따른 초기침강속도와 침강압밀계수가 비교적 유사하게 나타났으며, 서해안 세립토는 다른 권역 보다 큰 압밀개시간극비가 나타났다. 침강압밀실험 결과를 통해 권역별 초기함수비에 따른 침강압밀계수 및 초기침강속도 산정식을 제안하였다.
서해안(경기)권역
(LL30%)
(LL30%)
경남권역
전남권역
(2) 권역별 세립토에 대하여 초기 슬러리간극비와 압밀개시간극비의 관계를 실험적으로 분석하여 아래와 같은 직선식을 제시하였다.
서해안(경기)권역 :
경남권역 :
전남권역 :
(3) 초기 슬러리간극비에 따른 압밀개시간극비를 분석한 결과, 서해안 권역 세립토는 15~19, 경남 권역 세립토는 21~25, 전남 권역 세립토는 22~26의 초기 슬러리간극비 범위에서 압밀 개시간극비가 수렴하였으며, 간극비가 6.0~7.2 범위에서 초기 슬러리간극비와 압밀개시간극비가 유사한 값을 보였다.










