1. 서 론
섬유보강콘크리트(Fiber Reinforced Concrete, FRC)는 콘크리트 모체에 섬유를 무작위로 분산시켜 콘크리트의 수축 및 온도응력 등에 의해 발생되는 균열을 제어할 목적으로 사용되었다. 콘크리트용 섬유 중 강섬유는 인장강도 및 내구성이 비교적 우수하며, 이를 혼입한 강섬유 보강 콘크리트(Steel Fiber Reinforced Concrete, SFRC)는 재료적 우수성이 입증되어 널리 사용되고 있다. 콘크리트 구조물의 취성 거동을 보완하기 위한 재료로서 SFRC를 사용하고자 많은 연구가 진행되었다. 국내 KDS 14 20 22 에서는 철근콘크리트 보의 최소전단보강근을 섬유로 대체할 수 있도록 규정하고 있으며, 국외 ACI 318 및 ACI 544-4R에서도 이를 나타내고 있다. Bhargava et al.(2006)에 따르면 강섬유의 균열 방지 효과로 인한 일부 혼입량에서의 압축강도 증진이 확인되었다. 피크 하중 이후에도 강섬유로 인한 잔류 응력을 유지하여, 압축파괴 후에도 강도가 일정 부분 유지된다. 강섬유의 형상과 특성에 따라 콘크리트 내부에서의 거동이 달라지는데, Alwan et al.(1999)에 따르면, 후크형(Hooked-end) 강섬유는 시멘트 매트릭스 내에서 뽑힘 강도의 우수성이 확인되어 널리 사용되고 있다. 그러나 SFRC의 역학적 특성에 영향을 주는 요인이 섬유의 특성, 콘크리트의 특성, 부재의 크기 등 다양하기 때문에 각기 다른 연구에서의 결과 및 제안식을 직접적으로 비교하기에 어려움이 있다. 압축강도 50MPa 이하에서 수행된 연구에 따르면 강섬유의 혼입률 및 형상에 따라 SFRC의 역학적 특성이 달라진다. 강섬유로 인한 압축강도 향상은 콘크리트의 균열을 섬유가 지연시키며, 하중을 콘크리트 매트릭스에 고르게 분산되도록 도와 국부적인 파괴를 방지하는 데에 있다. 또한, 최대하중 이후에도 섬유로 인한 잔류 응력을 유지하여 강도가 일정부분 유지되며, 콘크리트의 취성 거동을 보완하는 연성거동이 나타난다. 이는 콘크리트에 혼입되는 강섬유의 길이, 인장강도 등과 같은 특성에 따라 결정된다. 콘크리트에 혼입되는 강섬유의 특성을 규격화하기 위해 섬유보강지수 Reinforced Index(RI)로 표현하고 있으며, Vf (lf/df)로 나타낸다. Vf는 강섬유의 부피비로 계산된 혼입률, lf 및 df는 각 섬유의 길이와 직경이다. 혼입되는 강섬유의 양이 많을수록, 강섬유의 길이가 길어질수록 콘크리트 부재의 압축강도는 증가하지만, 섬유의 혼입율 및 길이를 적절히 하지 않을 경우 작업성이 감소되며, 강도가 저하된다는 연구 결과가 있다. Ou et al.(2017)에 따르면 강섬유를 2% 초과하여 혼입한 경우 SFRC의 강도가 저하되었으며, 시험체의 인성이 저하되었다. Yazici et al.(2007)에 따르면 섬유의 혼입율 1.5%부터 작업성이 현저하게 감소되었으며, 강섬유의 형상비 및 혼입율이 높아질수록 슬럼프 또한 감소한다고 나타냈다. SFRC의 압축강도 및 변형률에 관한 제안식이 여러 연구에 의해 제시되었지만 각 시험에서 사용된 섬유의 제원이 달라 직접적으로 비교하기는 어려운 실정이다. 따라서 본 연구에서는 후크형 및 아치형 강섬유와 나선철근으로 보강한 콘크리트의 일축 압축 성능을 평가하였으며, 섬유 보강 지수와 나선철근 보강비에 따른 압축강도, 변형률 및 인성비 평가식을 제안하였다.
2. 압축실험
2.1 시험 계획
본 연구에서는 인장강도 1,100MPa 강섬유를 혼입하여 형상비 및 혼입율과 나선철근보강에 따라 콘크리트의 압축 특성에 미치는 영향을 평가하고자 한다. Table 1은 본 연구에서 사용한 24MPa 압축강도 콘크리트의 배합표이고 물-결합재비(W/B) 52.2% 및 잔골재율(S/a) 48.9%로 하였으며, 굵은 골재 최대 치수는 25mm로 하였다. 강섬유의 혼입율(0%, 0.5% 1.0%), 형상(후크형 및 아치형) 및 나선철근 피치(52mm, 36mm)에 따른 콘크리트의 압축 성능을 평가하기 위하여 Table 2와 같이 강섬유의 혼입율, 강섬유의 형상, 나선철근 보강비로 두었다. 나선철근은 지름 10mm, 인장강도 400MPa, 구속 지름 150mm로 하였다. 시편은 각 변수별로 3개씩 총 45개를 제작하였다. 본 연구에서 사용한 강섬유는 국내 K사에서 생산한 강섬유이며, 강섬유의 형상 및 제원을 Fig. 1 및 Table 3에 나타냈다. 강섬유는 형상에 따라 콘크리트 내부에서의 정착 및 거동특성이 달라지며, 후크형 강섬유는 뛰어난 뽑힘 저항성을 나타내고 아치형 강섬유는 후크형과 유사한 성능을 보인다.
Table 1.
Mix proportion of 24MPa concrete
Table 2.
Variation of steel fiber reinforced concrete compressive test
Table 3.
Properties of steel fibers
| Fiber type | Diameter (mm) | Length (mm) | Aspect ratio (L/D) | Tensile strength (MPa) |
| Hooked | 0.75 | 60 | 80 | 1,100 |
| Arched | 0.75 | 60 | 80 | 1,100 |
2.2 시험 방법
나선철근과 강섬유로 보강된 콘크리트의 압축 특성을 평가하기 위해 1:2 비율의 지름 200mm, 높이 400mm의 실린더형 실험체를 제작하였다. Fig. 2와 같이 25mm의 스페이서를 이용하여 나선철근을 고정하였다. 실험체의 양면에 수직 및 수평으로 Strain gage를 부착하였고, 컴프레소미터를 이용하여 실험체의 축방향 변위를 측정하였다. 실험은 2,000kN 용량의 UTM을 이용하여 0.5mm/min의 속도로 재하하였으며, 실험체의 편심을 최소화하기 위해 상단에 석고를 이용해 균형을 맞추었다. 실험 전경은 Fig. 3에 나타냈다.
3. 압축실험 결과
3.1 압축강도
SFRC의 압축실험 결과는 Table 4에 나타냈으며, 응력-변형률 곡선은 Fig. 4에 나타냈다. SFRC의 최대 압축 강도는 강섬유의 혼입이 증가할수록, 횡 보강비가 커질수록 높게 특정되었다. 나선철근으로 보강한 SFRC의 압축강도는 강섬유의 혼입에 따라 약 9.49% ~ 41.90% 증가하였고, 피치 52mm 및 36mm의 나선철근으로만 보강한 실험체의 경우 각 22.9% 및 32.1% 증가하였다.
Table 4.
Test result of SFRC with spiral reinforcement
섬유의 혼입율이 가장 높은 1.0%와 나선철근 보강비가 제일 높은 간격 36mm 에서의 압축 강도가 가장 높게 나타났다. 이러한 경향은 아치형 강섬유에서 더욱 잘 나타났다. 재료의 변형 저항 능력을 나타내는 주요 특성 중 하나인 탄성계수를 이용하여 강성을 비교하였다. 변수에 따른 강성을 비교하기 위해 ASTM C 469 및 KDS 14 20 10 (2021)에 따라 최대하중 40% 수준에서 할선탄성계수를 계산하였다. 탄성계수 비교 결과 일부 아치형 강섬유를 혼입한 실험체에서 증가되는 경향이 나타났으나, 다른 실험체에서의 일정한 증가 또는 감소가 나타나지 않았다. 이는, 나선철근을 통한 구속효과가 궁극적인 내력 및 연성 향상에는 기여하지만 초기 탄성범위에서 구속효과가 충분히 발현되지 않았기 때문이다.
3.2 인성비
강섬유와 나선철근의 조합으로 인한 SFRC의 인성을 비교하기 위해 Ezeldin & Balaguru(1992) 및 Nataraja et al.(1999)이 주장한 응력-변형률 곡선에서 변형률 0.015까지의 면적을 이용하여 인성비를 계산하였다. 강섬유와 나선철근으로 보강하지 않은 Plain 실험체와 비교하기 위해 Plain 실험체의 인성비값으로 정규화하여 Table 5와 Fig. 5에 나타냈다.
Table 5.
Result of Toughness of SFRC with spiral reinforcement
강섬유의 혼입 없이 나선철근으로 보강한 실험체의 인성 결과, 나선철근 보강에 따라 약 4.4 ~ 4.5배 증가하였다. 강섬유 형상에 관계없이 혼입율이 증가함에 따라 모두 인성이 증가하였는데 아치형 강섬유가 후크형 강섬유에 비해 높은 인성이 측정되었다. 하지만 나선철근 피치 36mm, 강섬유 혼입율 1.0%에서 인성이 감소하였는데, 강섬유의 형상비가 크고 과도하게 혼입할 경우 인성이 감소된다는 결과와 동일하며, 좁은 나선철근 간격으로 인한 워커빌리티 저하로 인한 것이라고 판단된다(Ezeldin & Balaguru, 1992). SFRC 인성 비교 결과 나선철근 보강이 기준에 미치지 못하더라도 강섬유의 보강으로 성능을 보완할 수 있다. 나선철근 보강이 기준에 미달하는 실험체의 경우, 0.5%의 후크형 및 아치형 강섬유를 혼입함으로써 기준 성능 대비 약 0.7%에서 13.5% 향상된 거동을 확보할 수 있는 것으로 나타났다.
4. 평가식 제안
SFRC의 압축 성능은 강섬유의 특성과 구속 조건에 따라 영향을 받는다. 본 연구에서는 강섬유와 나선철근의 조합을 고려하여 SFRC의 압축강도, 극한 변형률 및 인성비를 예측할 수 있는 평가식을 분석하고 제안하였다. 평가식은 섬유 보강 지수, 구속계수 및 압축강도의 상관관계를 비선형 회귀 분석을 통해 제안하였으며, 후크형 강섬유와 아치형 강섬유에 대한 평가식을 각각 도출하였다. 이를 바탕으로 강섬유로만 보강된 SFRC와 나선철근으로 구속된 SFRC를 대상으로 두 가지 경우에 대한 평가식을 도출하였다. 본 연구에서 제안한 평가식은 나선철근 보강 유무에 따라 Table 6과 Table 7에 나타냈다.
Table 6.
Equation of SFRC without spiral
| Types | Type of steel fiber | Equation |
| Strength (MPa) | Hooked | |
| Arched | ||
| Strain (mm/mm) | Hooked | |
| Arched | ||
| Toughness Ratio | Hooked | |
| Arched |
Table 7.
Equation of SFRC with spiral
| Types | Type of steel fiber | Equation |
| Strength (MPa) | Hooked | |
| Arched | ||
| Strain (mm/mm) | Hooked | |
| Arched | ||
| Toughness Ratio | Hooked | |
| Arched |
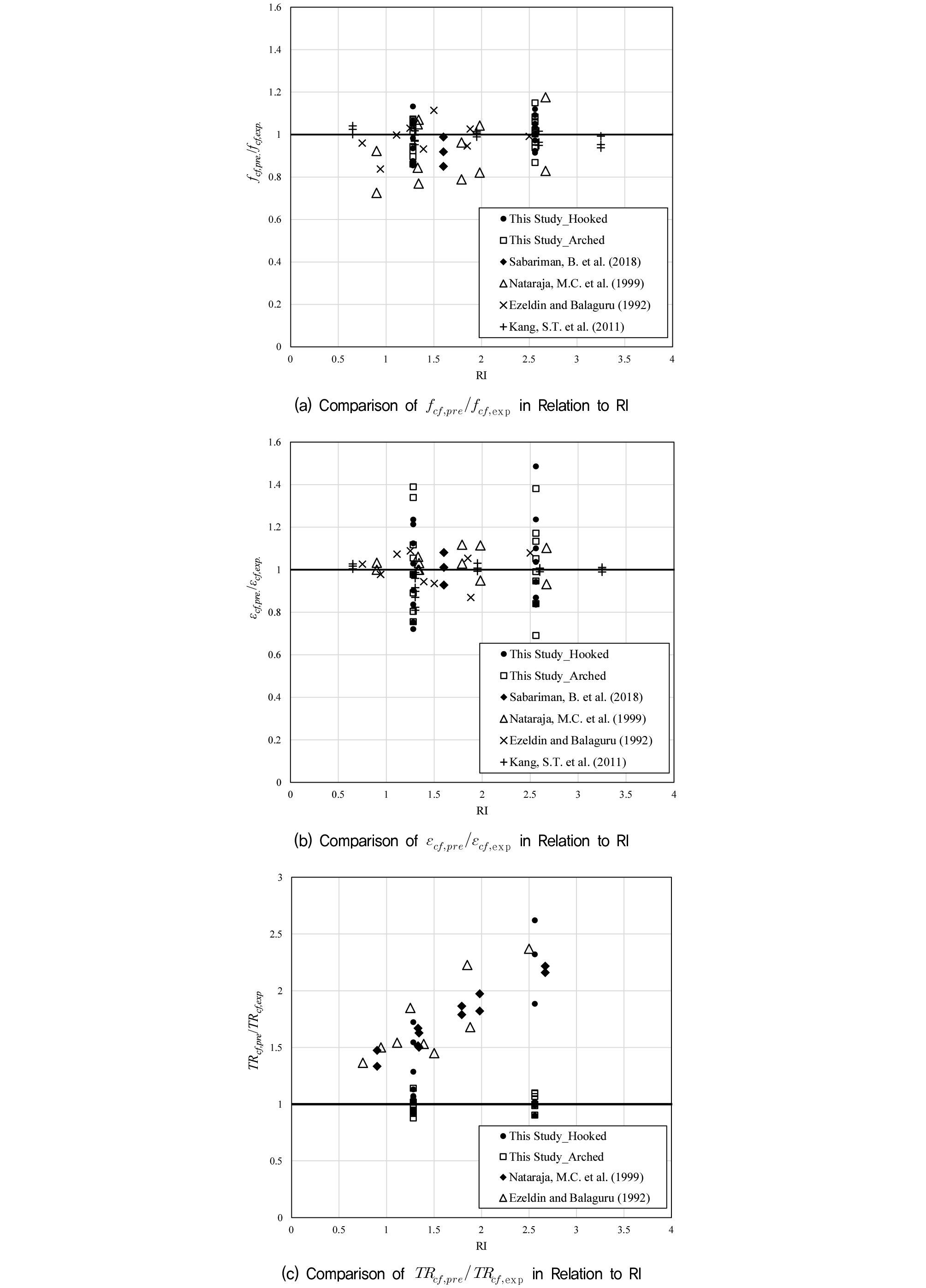
제시한 평가식을 통해 각 압축특성을 선행연구의 결과와 비교하여 Fig. 6에 나타냈다. 압축 강도 비교 결과, 후크형 강섬유를 사용한 경우 평균 약 0.3%(±8.09%)의 오차가 나타났으며, 아치형 강섬유를 사용한 경우 평균 약 0.6%(±7.04%)의 오차가 나타났다.
5. 결 론
SFRC의 압축성능을 확인하기 위해 강섬유 혼입율에 따른 압축강도 실험을 수행한 결과 얻은 결론은 다음과 같다.
(1) SFRC의 압축강도 실험 결과 나선철근으로 보강한 SFRC의 압축강도는 강섬유의 혼입에 따라 약 9.49% ~ 41.90% 증가하였고, 피치 52mm 및 36mm의 나선철근으로만 보강한 실험체의 경우 각 22.9% 및 32.1% 증가하였다. 다만, 섬유보강에 따른 압축강도 증가는 나선철근만 보강한 경우보다 작게 나타났는데, 이는 강섬유가 단독으로는 나선철근이 제공하는 구속력 수준에 도달하지 못하기 때문이다. 이러한 압축강도의 증가는 나선철근으로 인한 구속력이 횡방향으로 팽창하려는 재료의 거동에 반대되는 압력이 가해지기 때문이며, 콘크리트에 분산된 강섬유가 균열 주변 응력을 효과적으로 재분배하여 응력 과부하로 인한 파괴를 방지하기 때문이다.
(2) SFRC의 인성비를 비교한 결과 강섬유의 혼입량이 증가할수록 인성비도 증가하였다. 그러나, ACI 318에서 제시하는 최소 횡 보강비에 미치지 못하는 실험체의 경우 강섬유의 혼입으로 인해 보완되는 것을 실험을 통해 확인하였다.
(3) SFRC의 압축강도 평가식을 비교한 결과 나선철근으로 구속한 SFRC의 후크형 강섬유에서 평균 약 2.1%의 오차가 나타났으며, 아치형 강섬유에서 평균 약 0.4%의 오차가 나타났다. 이는 기존 Sabariman et al.(2018)이 제시한 평가식의 오차범위인 8.1% ~ 8.4%에 비해 비교적 정확하게 압축강도를 추정할 수 있는 것으로 나타났다.








