1. 서 론
2. 건조 시료의 무게 특이점
2.1 용기의 종류에 따른 건조무게 특이점
2.2 흙 시료의 종류에 따른 건조무게 특이점
2.3 무게 감소 영역의 크기와 특이점
2.4 무게 특이점의 발생 시간
2.5 무게 특이점의 발생 온도
3. 결 론
1. 서 론
흙의 무게는 흙의 가장 기본적인 물리적 성질 중 하나이다. 흙은 간극 속에 물을 포함하는 정도에 따라 단위중량이 변화된다. 그 중 순수한 흙만의 무게를 측정하여 건조단위중량을 결정한다. 한국산업표준(KS F)의 규정에 의하면 강열 감량법에 의한 흙의 유기물 함유량 시험방법(KS F 2104, 2018)과 흐트러진 흙의 시료 조제 방법(KS F 2301, 2020), 흙의 입도 시험방법(KS F 2302, 2017), 흙의 함수비 시험방법(KS F 2306, 2020), 흙입자 밀도 시험 방법(KS F 2308, 2022), 흙의 공학적 분류 방법(KS F 2324, 2022), 흙의 입도 및 물리적 성질 시험용 젖은 시료 제조 방법(KS F 2341, 2017), 그리고 ASTM D2216-19(2019)에서는 건조로 속에서 110±5℃의 온도로 건조하여 순수한 흙 무게를 결정할 수 있다. 그러나, 건조로 밖으로 시료를 꺼내어 무게를 측정할 경우 흙 시료가 공기 중의 수분을 흡수하여 무게가 증가되므로 순수한 흙 무게 측정 시 오차가 발생된다. Lee & Lee(2010)는 이러한 문제점을 해결하는 방법으로 건조로 내부에 저울을 설치하여서 건조 시료의 무게를 측정하였다. 그러나, 흙의 물성 시험을 위해서는 부득이 시료를 건조로 밖으로 꺼내어 무게를 측정해야 하는데, 이 경우에 공기 중 수분 흡수의 영향을 제거할 수 있는 방법이 요구된다. Kim(2022)은 노건조된 흙 시료의 무게 측정 시 오차를 최소화하는 방법으로 데시케이터 건조과정을 생략하고 노건조 후 곧바로 저울에 무게를 측정할 경우 데시케이터를 사용할 경우에 비해 최대 0.735%의 무게 오차를 감소시킬 수 있음을 확인하였다. 또한 노건조 후 30초 간격으로 총 45분간 건조무게를 측정한 결과 공기 중 노출시간이 증가될수록 흙 무게가 지속적으로 증가하는 결과를 나타내어, 노건조 후 가급적 시료의 무게를 바로 측정하는 것이 무게 측정 오차를 줄일 수 있는 방법이라고 하였다. 현재 한국산업표준(KS F)의 규정에는 노건조 후 무게 측정시간에 대한 별도의 규정이 없어 측정오차가 필연적으로 발생되므로 노건조 후 측정시간에 대한 규정의 필요성을 언급하였다. 그러나 측정시간의 단축에 관한 접근방법은 실험과정의 시간적 및 물리적 한계가 존재하므로 초기 측정시간을 무한정 단축할 수 없는 한계점이 존재한다. 그러므로 초기 측정시간 단축에 대한 한계점을 극복할 수 있는 흙 무게 측정법이 요구된다.
본 연구에서는 노건조 후 0.1mg 감도의 저울로 흙 무게를 측정하여 Kim(2022)이 제안한 초기 측정시간 30초 이전의 시간 영역에서 흙 무게 변화를 1초 단위로 측정하였고, 특이점 분석을 통하여 측정시간의 규정에 대한 문제점을 해결하고 공기 중 수분흡수의 영향을 최소화할 수 있는 흙 무게 측정방법을 특이점 분석을 통하여 제시하였다. 특이점 분석에 관한 연구는 크게 3가지 실험을 통해 수행하였다. 먼저, 흙 무게 측정을 위해 사용될 가장 적합한 용기를 통계적 분석을 이용하여 결정하였고, 다음으로 용기와 흙의 무게를 동시에 측정하고 용기의 무게를 제하여 순수한 흙의 무게를 결정하였다. 그 후 순수한 흙의 무게 특이점을 무게 감소 정도, 온도 변화, 발생 시간에 대하여 분석하였다.
2. 건조 시료의 무게 특이점
2.1 용기의 종류에 따른 건조무게 특이점
건조된 흙 시료의 무게는 흙 시료를 용기에 담아 무게를 측정하고 용기의 무게를 제하여 측정할 수 있다. 흙 시료를 담는 용기는 일반적으로 고체의 금속 재질이 사용된다.
본 연구에서는 시료의 건조무게 측정 시 무게 오차를 최소화할 수 있는 용기를 선택하고자 재질과 모양에 따른 6개 용기에 대하여 건조무게를 측정하였다. 용기의 종류는 알루미늄 캔 3종(대, 중, 소)과 유리, 스테인리스 스틸, 알루미늄 시트로 구성되었다(Fig. 1).
건조된 용기의 무게측정을 위하여 110±5℃의 온도로 노건조한 후 감도 0.0001g(0.1mg)의 전자저울(HR-200)에 용기 무게를 1초 단위로 측정하였다(Fig. 2). 그 결과 각 용기의 무게는 Fig. 3과 같이 수초 동안 약간 감소한 후 증가하는 형태, 즉 특이점(Singularity)을 나타내었다. 이러한 결과는 가열된 흙의 열에너지가 전도(Conduction), 대류(Convection), 복사(Radiation)의 복합적인 형태로 방출되었기 때문으로 판단된다.
특이점은 재료의 종류와 관계없이 Fig. 4의 6개의 용기에서 모두 발생되었고 측정된 무게 중 가장 작은 값을 나타내므로, 특이점의 값을 용기의 건조무게로 간주할 수 있다. 한편, 무게가 감소한 후 증가하는 형태는 무게 측정 30초 후에 첫 번째 측정값을 취득한 Kim(2022)의 연구에서는 확인되지 않은 결과이다. Fig. 4의 경우 모든 특이점은 무게 측정 후 30초 이전에 발생되었다.
6개 용기 중에서 흙 무게 측정 시 사용되는 가장 적합한 용기를 결정하기 위하여 각 용기당 총 20회씩 건조무게를 측정하였다(Fig. 5). 그 후, 흙 무게 변화에서 특이점을 결정하고 통계적으로 분석하였다(Table 1, Fig. 6). 6개 용기의 특이점 분석에서 무게 측정값의 최대값과 최소값의 차이를 나타내는 범위(Range)는 유리 용기가 가장 크고 스테인리스 스틸, 알루미늄 시트, 알루미늄 캔(대), 알루미늄 캔(중), 알루미늄 캔(소)의 순서로 나타났다(Fig. 6(a)). 일반적으로 측정값의 범위가 클수록 정밀도는 작아진다. 표준편차(Standard deviation)는 분산(Variance)과 같이 평균값에서 떨어진 정도를 나타내는데, 유리 용기의 표준편차가 가장 크게 나타났다(Fig. 6(b)). 변동계수(Coefficient of variation)는 알루미늄 시트 용기에서 가장 크게 나타났다(Fig. 6(c)). 통계적 분석결과 범위, 표준편차, 변동계수가 상대적으로 작고, 특이점 값의 정밀도가 높은 용기는 알루미늄 캔 3종(대, 중, 소)으로 확인되었다.
Table 1.
Statistical analysis of weight singularity
통계적 분석의 결과를 고려하여 본 연구에서는 알루미늄 캔(중) 용기를 선택하였고, 6종의 흙 시료의 무게 측정을 위하여 6개의 알루미늄 캔(중) 용기를 사용하였다(Fig. 7). 알루미늄 캔(중) 용기의 크기는 직경 75mm, 높이 50mm이다.
6개의 용기는 각 10회씩 무게 특이점을 측정하고 평균값을 구하여 보다 정확한 건조무게를 결정하였다(Table 2).
Table 2.
Weight singularity of aluminum can
알루미늄 용기의 평균무게는 33.0995~33.6060g 사이의 값을 나타내었다.
2.2 흙 시료의 종류에 따른 건조무게 특이점
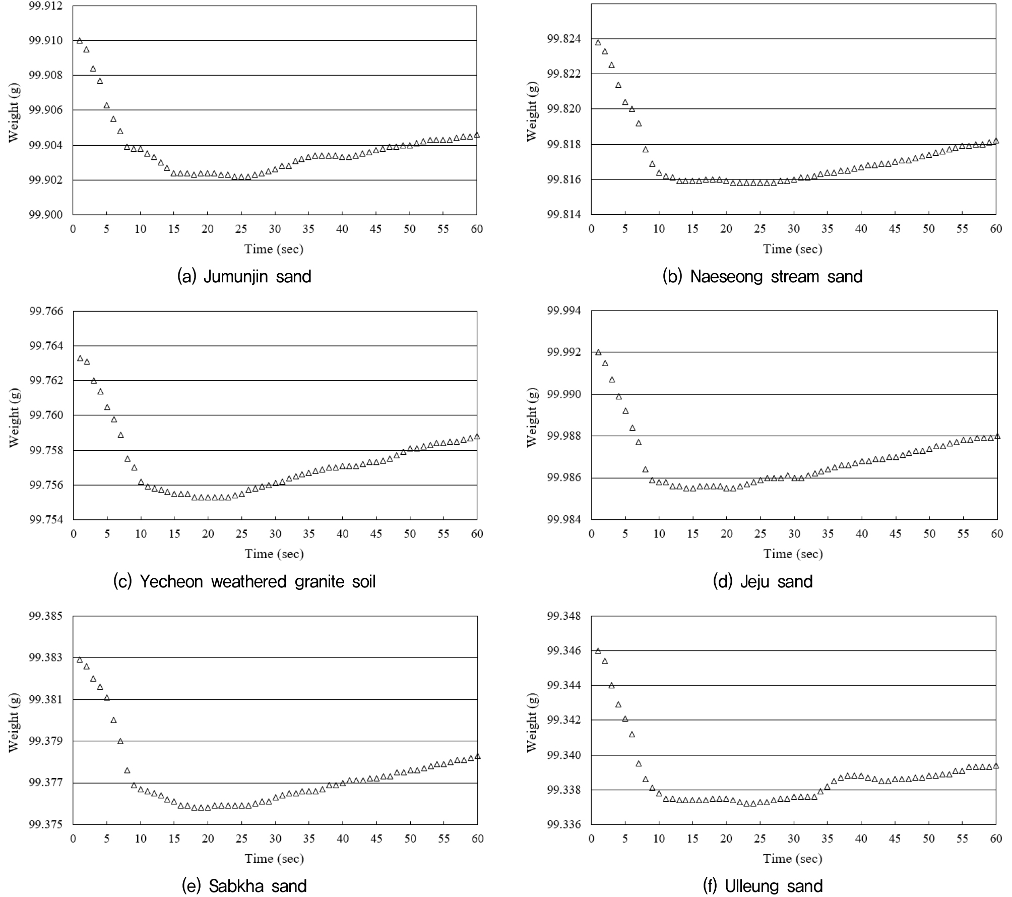
건조된 흙 시료의 무게는 용기에 담긴 흙 시료 전체의 무게 특이점 값에서 Table 2에서 구한 알루미늄 용기의 무게 특이점 값을 제하여 결정할 수 있다. 특이점을 이용한 건조된 흙의 무게 측정을 위하여 주문진 석영질 모래, 예천지역의 내성천 석영질 모래, 예천지역의 화강풍화토, 제주도 탄산질 모래, 중동지역의 탄산질 사브카(Sabkha) 모래, 울릉도 현무암질 모래 등, 다양한 조건에서 생성된 6종류의 흙 시료를 사용하였다. Fig. 8의 광학현미경(ZW-H5000)으로 획득한 건조된 흙 시료의 사진은 Fig. 9와 같이 다양한 모양을 나타내었다. 실험에 사용된 각 시료의 생성 장소는 해양과 강과 육지로 구분되었고, 주요 성분은 석영질과 탄산질 그리고 현무암질로 다양하게 구성되었다. 그 결과 색과 모양, 밝기 그리고, 입경과 입도가 서로 다르게 나타났다. Fig. 9의 사진에서 좌측에 표시된 세로방향 한 눈금의 크기는 1mm이다.
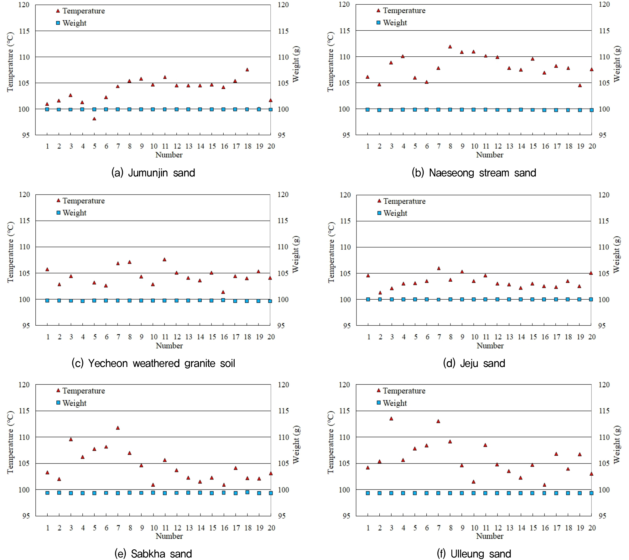
6종류의 시료는 한국산업표준(KS F)의 규정에 따라 건조로에서 110±5℃의 온도로 건조한 후 전자저울에 무게를 측정하였고 무게 측정과 동시에 시료의 온도를 실시간으로 측정하여 특이점 발생과 온도의 관계를 확인하고자 하였다. 온도는 -50~550℃의 범위에서 측정 가능한 비접촉 방식의 ACUBA사의 적외선온도계 CS-301을 사용하였다(Fig. 10). 접촉식 온도계를 사용할 경우 흙 시료 심부의 온도를 측정할 수 있으나 온도계의 무게와 흙 시료의 무게가 중복되어 측정되므로 흙 시료만의 무게 특이점을 확인하는데 어려움이 있다. 그러므로, 이와 같은 문제점을 제거하기 위하여 비접촉식 적외선 온도계를 사용하였다. 적외선 온도계는 온도계에 내장된 적외선 감지센서가 물체에 방사되는 에너지를 측정하여 온도를 표시하며, 측정 대상(재료)의 종류에 따라 방사율(Emissivity)이 달라진다. 방사율이란 절대온도(-273℃) 이상의 온도를 가지는 모든 물체는 적외선 에너지를 방사(반사, 흡수)하는데, 임의의 온도로부터 출사되는 열방사와 동일한 온도의 흙체로부터 출사되는 열방사와의 크기의 비를 말한다. 한편, 모든 에너지를 100% 흡수하는 이상적인 물체를 흑체(Black body)라고 하고, 그 방사율을 1이라고 정의한다. 흑체는 자연세계에 존재하지 않는 가상물체이다. 실제로 모든 물체의 방사율은 항상 1보다 작다(Richmond, 1984). 방사율은 물체의 표면상태, 형상, 파장과 온도에 따라서도 달라진다(Kang et al., 2010). 그러므로, 재료의 종류에 따른 방사율을 고려하여야 한다. 일반적인 재료들의 방사율은 Table 3과 같다. 본 연구에서는 흙 시료가 대부분 모래로 구성되어 방사율을 0.90으로 설정하여 온도를 측정하였다. 방사율을 0.90로 설정하면 실제 열에너지의 크기를 보다 정확히 측정할 수 있다. 한편, 적외선 파장은 비금속 재료의 측정에 보다 적합한 8.0~14.0μm의 장파 적외선(Long-wavelength infrared)을 사용하였다.
Table 3.
Emissivity of materials
각 시료는 110±5℃의 온도로 노건조 후 Fig. 2와 같이 20회씩 시간에 따른 무게와 온도 변화를 동시에 측정하였고, 측정시간은 1초 단위로 측정하였다. 그 결과, 각 시료별 대표적인 시간-무게-온도의 관계는 Fig. 11과 같이 나타났다. 건조된 시료는 공기 중에 노출 시 열의 이동이 발생되어 시간이 지남에 따라 시료의 온도가 점차 감소되었다. 동시에 Fig. 3과 같이 무게가 일시적으로 감소한 후 일정 시간 이후부터는 증가하는 특이점이 발생되었다. 특이점의 발생은 시료의 성분과 입경에 관계없이 6종류의 시료에서 모두 나타났다.
2.3 무게 감소 영역의 크기와 특이점
시간-무게-온도의 관계를 나타낸 Fig. 11의 결과를 시간과 무게에 관한 2차원 평면상에 나타내면 흙 시료의 무게 변화를 보다 자세히 알 수 있다. Fig. 12에서 무게 감소 영역이 먼저 나타난 후 특이점이 나타난 것을 알 수 있는데, 초기 측정값과 특이점 값의 차이에서 무게 감소 영역의 크기를 알 수 있다(Table 4). 즉, 일정 무게가 감소한 후 특이점이 발생되며 특이점이 나타나기까지의 무게 감소율은 시료에 따라 0.0066~0.0085%로 나타났다. 또한 실험결과 특이점이 발생되기까지의 무게감소 즉, 무게 감소 영역의 크기가 0.0066~0.0084g 사이의 범위에서 매우 작게 나타나므로 가급적 0.0001g(0.1mg) 측정감도의 저울을 사용하는 것이 효과적이다.
Table 4.
Decrease rate of singularity weight
2.4 무게 특이점의 발생 시간
건조된 흙의 무게는 측정 시간에 따라 달라지므로 특이점의 발생 시간을 확인하는 것은 매우 중요하다. 1초 단위로 측정된 Fig. 12의 결과에서 무게 특이점의 발생 시간을 결정할 수 있다. 특이점 발생 시간은 무게 감소 영역의 발생 시간과 같다. 분석 결과 각 시료의 특이점 발생 시간은 흙의 종류에 따라 무게 측정 시작 후 8초에서 27초 사이에서 발생되었다(Table 5). 그러나, 무게 측정 시작 후 30초에 첫 번째 무게를 측정한 Kim(2022)의 연구에서는 무게 특이점이 확인되지 않았다. 그러므로, 건조로에서 시료를 꺼낸 후 곧바로 무게 측정이 시작되어야 하며 측정시간을 1초 단위로 설정하면 무게 특이점을 확인할 수 있다.
Table 5.
Singularity occurrence time of soil samples
한편, KS F 2306(2020)과 KS F 2308(2022)에서는 노건조된 흙을 KS L 2302(2017)에서 규정된 데시케이터 안에서 실온이 될 때까지 약 18~24시간 정도 식힌 후 무게를 측정하도록 하고 있다. 그러나 Table 5의 결과에 의하면 무게 특이점은 노건조 후 27초 이내의 시간에서 발생되므로 노건조 후 데시케이터를 이용할 경우 특이점은 발생되지 않는다. 또한, 노건조된 화강풍화토에 데시케이터를 사용한 후 무게를 측정한 연구에서도 특이점은 발생되지 않았고, 단지 시간에 따라 시료의 무게가 지속적으로 증가하였다(Kim, 2022). 그러므로, 무게 특이점은 노건조 후 일정시간 내에 발생됨을 알 수 있다.
2.5 무게 특이점의 발생 온도
110±5℃로 노건조된 흙 시료는 공기 중에서 온도가 점차 감소하면서 무게 특이점을 나타내므로, 시료의 무게 특이점과 무게 특이점이 발생되는 온도와의 관계를 확인하고자 하였다. Fig. 13은 총 20회씩 측정된 각 시료의 특이점 무게와 특이점이 발생되는 온도의 관계를 나타낸 것이다. 특이점의 발생 온도는 흙의 종류에 따라 차이를 나타내었다(Fig. 14). 특이점 발생 시 평균 온도는 제주 모래에서 103.4℃로 가장 낮게 나타났고, 내성천 모래에서 108.13℃로 가장 높게 나타났다. 그 중 주문진 모래와 내성천 모래는 모두 석영질 모래에 해당되지만 무게 특이점의 평균 온도는 4.59℃의 차이가 발생되어 흙의 구성 성분이 유사한 것으로 분류되더라도 무게 특이점의 온도에 차이가 발생됨을 알 수 있다. 또한 탄산질 모래인 제주모래와 사브카 모래는 석영질의 주문진 모래와 내성천 모래에 비해 특이점의 발생 온도가 상대적으로 낮게 나타났다. 그러므로, 재료의 특성과 특이점 발생 온도사이에 관련성이 있음을 알 수 있다.
3. 결 론
현재의 노건조된 흙의 무게 측정 방법은 노건조 후 시료를 꺼내어 저울에 측정하는 과정에서 측정시간에 대한 규정이 없어 공기 중 수분의 흡수로 인한 무게증가 오차가 발생된다. 그러므로, 지반공학자가 수용할 수 있는 건조무게 측정법과 오차발생을 최소화할 수 있는 방법이 요구된다. 본 연구에서는 노건조된 흙의 무게측정을 위한 실험을 수행하고 다음과 같은 결론을 도출하였다.
(1) 노건조된 흙은 공기 중 노출 시 시간에 따라 무게가 증가한다. 그러나, 본 연구에서는 초기 약 30초 이전의 기간에서는 무게가 일시적으로 감소하다가 증가하는 특이점이 나타났다.
(2) 무게 특이점은 실험에 사용된 알루미늄 캔 3종(대, 중, 소)과 유리, 스테인리스 스틸, 알루미늄 시트 6종의 용기와 주문진 석영질 모래, 예천지역의 내성천 석영질 모래, 예천지역의 화강풍화토, 제주도 탄산질 모래, 중동지역의 탄산질 사브카 모래, 울릉도 현무암질 모래 등 총 6종의 흙 시료에서 모두 발생되었다.
(3) 무게 특이점 값은 측정된 무게 중 가장 작은 값이고, 공기 중 수분 흡수의 영향이 가장 작음을 의미한다. 그러므로, 특이점 값을 흙 시료의 건조무게로 간주할 수 있다.
(4) 노건조된 흙은 KS L 2302(2017)에 규정된 데시케이터의 사용유무와 상관없이 공기 중에 노출되는 순간 공기 중 수분의 흡착이 발생되고, 시간에 따라 무게가 지속적으로 증가되므로, 가급적 짧은 시간 내에 무게를 측정하여야 한다. 그러나, 무게 측정 시간을 무한정 단축할 수 없는 물리적인 한계가 존재한다. 또한, 무게 측정 시간에 관한 합의된 규정이 제정되더라도, 실제 흙무게는 공기 중에서 지속적으로 증가되므로 측정 시간의 규정에 대한 합리성에 대해 이견이 존재할 수 있다. 반면, 특이점을 이용하여 무게를 측정할 경우 측정 시간의 규정 시 발생되는 문제점을 해결할 수 있으므로 특이점을 이용한 무게 측정 방법을 표준시험법에 활용할 수 있다.
(5) 한국산업표준(KS F)의 규정에 따라 110±5℃의 온도로 노건조된 6종류의 흙 시료에서 발생된 무게 특이점은 무게 측정 후 8~27초 사이에서, 온도는 103.4~108.13℃의 범위에서 나타났다. 또한 특이점의 무게는 초기 측정값 즉, 무게 감소 영역의 최대값 대비 시료에 따라 0.0066~0.0085% 감소한 후 증가하는 거동을 보였다.
(6)본 연구는 6가지 종류의 흙 시료에 한정되어 수행된 것으로, 흙 시료의 입경과 성분 등 다양한 시료의 조건에 따른 무게 특이점의 특성을 규명하지 못한 한계점이 있다. 또한, 무게 특이점의 발생 원인과 메커니즘에 대한 충분한 분석이 이루어지지 못한 한계점이 있다. 향후 이와 관련하여 추가적인 연구의 필요성이 존재한다.
















