1. 서 론
2. 열차진동 평가방법 및 허용규제기준
2.1 열차진동에 의한 지반 진동 수준 평가방법
2.2 진동의 허용규제기준
3. 현장계측 열차진동에 대한 진동 수준 설계사례
3.1 설계사례의 지반 및 구조물 조건
3.2 설계사례의 열차진동 계측데이터
3.3 설계사례의 지반 진동 수준 평가결과
4. 열차진동에 대한 수치해석
4.1 수치해석 조건
4.2 지반 및 재료 물성치
4.3 3차원 수치해석을 통한 열차 진동속도 결정
4.4 2차원 수치해석 모델링
5. 2차원 수치해석 결과 및 분석
5.1 열차진동에 의한 지반 진동속도 및 진동가속도
5.2 열차진동 평가방법에 따른 지반 진동 수준
5.3 열차진동 평가방법의 적정성 검토
6. 결 론
1. 서 론
최근 도심지를 중심으로 개발사업이 증가함에 따라 도시철도 운행구간 인접지역에 아파트, 근린생활시설, 주상복합, 백화점 등 건축 구조물의 시공이 증가하고 있으며, 이러한 경우 운행 중인 열차에 의해 지반진동이 발생하여 인접 구조물에 영향을 미친다. 지반에 의해 전파되는 진동 수준이 증가할 경우 거주하는 주민들의 생활환경에 불편을 야기하기 때문에 건축 구조물은 설계단계부터 인접한 위치에서 발생하는 열차진동에 대한 적절한 방진대책이 요구된다.
방진대책을 세우기 위한 열차진동의 평가는 영향요인에 따라 산정되는 진동 수준이 다르기 때문에 다양한 영향요인을 고려하여 열차진동 평가를 수행하여야 하며, 이에 대한 연구가 꾸준히 진행되고 있다. Melke & Kramer(1983)는 지반진동에 영향을 미치는 인자를 열차하중, 궤도조건, 터널 종류, 진동 응답점에 위치한 구조물 특징, 지반 조건으로 선정하고 각각의 영향인자에 대한 지반진동 예측 경험식을 제안하였다. 미국연방교통국(Federal Transit Administration, FTA)은 현장 계측결과로 얻은 진동 수준 곡선을 이용하여 이격거리에 따른 가진원을 산정하고 열차의 속도, 궤도조건, 터널종류, 지반진동의 전파특성 등에 대한 보정값을 제안하였다. 그리고, Han(2020)은 FTA의 보정값을 적용하여 예측한 열차진동 평가방법과 수치해석을 이용하여 평가한 방법을 비교하였으며, 그 결과 FTA의 열차진동 평가방법이 수치해석 방법보다 낮게 평가되어 진동 수준 산정 시 과소평가됨을 검증한 바 있다. Clouteau et al.(2004)는 현장계측과 수치해석을 이용하여 열차진동에 의해 영향을 받는 인접 구조물의 안정성을 연구하였으며, 가진원인 터널로부터 이격거리가 증가함에 따라 지반에 전파되는 파동의 진폭이 줄어들어 연직변위가 감소함을 제시하였다. Shin(2009)은 수치해석을 이용하여 지하철 주변 지반의 진동레벨 감쇠에 대한 연구를 수행하였으며, 해석결과 가장 큰 영향을 미치는 것은 지반의 물성치임을 제시하였다. Kang(2011)은 3차원 동적 수치해석을 통해 운행열차에 대한 궤도와 지반의 동적 상호작용을 평가하였으며, 연구결과를 통해 표토층의 두께가 감소하면 응답가속도와 응답변위가 증가함을 제시하였다.
선행연구에 의하면 열차진동이 인접 구조물에 영향을 끼치는 주된 영향요인은 가진원과 인접 구조물 간의 이격거리 및 지반조건임을 알 수 있다. 또한, 열차진동 평가방법별로 산정된 진동 수준은 모두 상이하며, 이는 열차진동 평가방법에 따라 방진대책 실시여부가 달라질 수 있음을 의미한다. 따라서, 본 연구는 다양한 조건에 대한 수치해석을 실시하여 적용성이 높은 열차진동 평가방법을 검토하고, 이를 이용하여 터널과 인접 구조물 간 적정 이격거리를 제안하는데 목적이 있다.
이를 위해 본 연구에서는 우선 3차원 수치해석을 이용하여 열차 진동속도를 산정하고, 산정된 열차 진동속도를 2차원 수치해석에 적용하여 지반의 상대밀도와 구조물의 깊이, 구조물 간 이격거리에 따른 지반진동을 산정하였다. 2차원 수치해석을 통해 얻은 지반진동은 Ungar & Bender(1973), 진동가속도레벨(Kim et al., 2007), FTA(2018)의 경험식에 적용하여 진동 수준으로 산정하였으며, 각 경험식에 대한 적용성을 평가하기 위해 본 연구에서 산정한 진동 수준과 실제 현장계측 열차진동 데이터가 적용된 설계사례 진동 수준을 비교하였다. 그리고, 본 연구에서 산정한 진동 수준과 관련 기관에서 제시하고 있는 허용규제기준을 비교하여 터널과 인접 구조물 간의 적정 이격거리를 제안하였다.
2. 열차진동 평가방법 및 허용규제기준
2.1 열차진동에 의한 지반 진동 수준 평가방법
운행 중인 열차에서 지반을 매개로 전파되는 진동은 구조물의 흔들림, 거주민의 수면방해 등을 야기할 수 있으므로 이를 방지하기 위해서는 설계단계부터 방진대책을 수립해야 한다.
열차진동에 의한 지반 진동 수준은 다양한 현장사례와 경험에 의한 자료를 기반으로 국내·외에서 연구자들에 의해 많은 평가방법이 제안되었다. 본 연구에서 비교·분석한 평가방법은 FTA 평가방법(FTA, 2018), Ungar & Bender 평가방법(Ungar & Bender, 1973; Kim et al., 2007), 진동가속도레벨 평가방법이며, 이에 대한 고찰은 다음과 같다.
FTA 평가방법은 다양한 현장을 대상으로 현장계측을 통해 진동 수준 곡선을 Fig. 1과 같이 제안하였다. 여기서 설계속도가 80km/h(50mph)인 일반열차(Locomotive Powered Passenger of Freight)와 도시열차(Rapid Transit or Light Rail Vehicles)는 Fig. 1과 같이 가진원으로부터의 이격거리를 고려하며 추가적으로 터널의 형식, 지반의 전파 특성, 인접 구조물 기초의 전파 특성에 따라 보정을 실시하여 진동 수준을 결정한다.
Ungar and Bender 평가방법은 지하철 벽체의 진동스펙트럼을 기초로 제안한 평가방법이다. 이 방법은 궤도조건, 열차속도, 이격거리에 따른 감쇠, 지반조건의 특성에 대한 보정값을 Table 1과 같이 반영하고 Eq. (1)을 이용하여 지반 진동 수준(dB(V))을 평가한다.
Table 1.
Adjustment factors for generalized predictions of vibration level (Kim et al., 2007)
여기서, v는 지반 진동속도(m/sec)를 의미한다. 지반진동이 공해진동으로서 인체에 영향을 미치는 경우에는 구조물을 대상으로 하는 진동속도와 더불어 진동가속도에 의한 진동 수준을 평가할 필요성이 있다. 이를 고려한 진동가속도 레벨은 Eq. (2)와 같이 산정한다.
여기서, X는 최대진동가속도(m/sec2), X0는 주 기준량(10-5m/sec2), A.D는 진동의 표준 물리량(dB)을 진동 수준으로 변환하는 보정값(-8dB(V))을 나타낸다.
2.2 진동의 허용규제기준
국가별 주요 도시에서는 진동에 대한 관리를 위해 허용규제기준을 제시하고 있다. 환경부(Korean Ministry of Environment, KME)는 도로 및 철도의 진동기준을 Table 2에 보인 바와 같이 진동 수준으로 제시하고 있으며, 특히 주간에 운영 중인 철도의 경우 허용 진동규제기준을 65dB(V)이하로 제시하고 있다.
Table 2.
Regulatory standards for vibration and noise (KME, 2023)
3. 현장계측 열차진동에 대한 진동 수준 설계사례
3.1 설계사례의 지반 및 구조물 조건
Fig. 2는 도시철도 4호선 인접 창동구역과 도시철도 3호선 인접 수표구역에서 진행한 재건축 사업의 단면도이다. 창동구역의 지층은 Fig. 2(a)와 같이 매립층, 퇴적모래층, 풍화토, 풍화암, 기반암으로 구성되어 있으며, 철도터널은 지표로부터 10.7m 하부에 위치하여 퇴적층~풍화암 지층에 설치되어 있다. 흙막이 가시설의 굴착 깊이는 27.2m 이며, 흙막이 벽체는 C.I.P 및 H-Pile + 숏크리트 공법을 적용하였다. 흙막이 벽체와 가진원과의 이격거리는 9.0m 이다.
수표구역의 지층은 Fig. 2(b)와 같이 매립층, 퇴적모래층, 풍화토, 풍화암, 기반암으로 구성되어 있으며, 철도터널은 지표로부터 20.0m 하부에 위치하여 풍화토~풍화암 지층에 설치되어 있다. 흙막이 가시설의 굴착 깊이는 27.4m 이며, 흙막이 벽체는 지하연속벽 및 H-Pile + 숏크리트 공법을 적용하였다. 흙막이 벽체와 가진원과의 이격거리는 11.4m 이다.
3.2 설계사례의 열차진동 계측데이터
설계사례에서는 진동 수준을 평가하기 위해 대상현장과 인접한 철도터널의 열차진동 데이터를 측정하였으며, 그 결과는 Fig. 3과 같다. 각 현장에 대한 열차진동 데이터의 진동가속도 최댓값은 약 0.8~3.0m/s2 이며, 각 현장의 열차진동 계측결과가 상이한 이유는 궤도의 곡률 및 마모도의 차이에 의한 영향으로 판단된다.
3.3 설계사례의 지반 진동 수준 평가결과
Korean Society of Civil Engineers(2021)에서 실시한 지하철 구조물 안정성 보고서에 평가된 창동구역 및 Korean Geosynthetics Society(2022)에서 실시한 지하철 구조물 안정성 보고서에 평가된 수표구역에 대한 신축구조물의 지반 진동 수준은 Table 3에 나타냈다.
Table 3.
Evaluation result of vibration level through field measurement
| Fields of design case | Distance between retaining walls and tunnels (m) | Evaluation results (dB(V)) |
| Changdong area, Railway Line 4 | 9.0 | 66.4 |
| Supyo area, Railway Line 3 | 11.4 | 65.5 |
평가 결과 창동구역에 대한 신축구조물의 지반 진동 수준은 66.4(dB(V)), 수표구역에 대한 신축구조물의 지반 진동 수준은 65.5(dB(V))로 나타났다.
4. 열차진동에 대한 수치해석
4.1 수치해석 조건
Clouteau et al.(2004), Shin(2009), Kang(2011) 등의 연구사례를 살펴본 바에 의하면 지반진동에 큰 영향을 미치는 변수는 가진원이 위치한 지반의 상태와 가진원과의 이격거리라 할 수 있다. 따라서, 본 연구에서는 Table 3과 같이 지반조건, 구조물 간 이격거리, 터널 및 굴착 깊이를 달리 고려하여 지반진동을 평가하였으며, 각 조건에 따른 지반과 구조물의 기하형상에 대한 상세 모델링이 요구되기 때문에 수치해석 방법을 이용하였다.
Fig. 2와 같은 신축구조물과 철도터널의 단면조건은 2차원 평면변형률 조건이 성립되기 때문에 본 연구에서는 2차원 수치해석을 실시하여 지반 진동속도를 평가하였다. 이때, 2차원 수치해석은 열차 진동속도가 입력데이터로 요구되며, 이를 결정하기 위해서는 현장계측 또는 3차원 수치해석이 선행되어야 한다.
Shin(2009) 및 Kang(2011)에 의하면 가진원이 위치한 지반의 상태에 따라 진동속도가 달라지기 때문에 가진원과 인접한 지반조건에 부합하는 열차 진동속도를 적용하여 지반 진동을 평가하여야 한다. 따라서, 다층지반을 대상으로 하는 현장계측 열차진동 데이터는 깊이에 따라 지반의 상태가 달라지기 때문에 이를 본 연구에서 고려한 해석조건에 적용하기에 무리가 있다. 이에 본 연구는 Table 4와 같이 2차원 수치해석과 동일한 지반조건과 가진원의 깊이를 적용하여 3차원 수치해석을 실시하고, 이를 통해 각 조건별 열차진동 데이터를 결정하였다.
Table 4.
Conditions of numerical analysis
수치해석 시 적용한 열차하중은 FTA(2018)의 열차속도 기준과 동일한 80km/h의 동적 하중조건을 재하하였으며, 가진원인 철도터널은 Ryu et al.(2011)의 연구를 참고하여 폭(D)이 10m인 아치형 터널로 적용하였다. 터널깊이는 2.0D(20m)와 3.0D(30m)로 달리 고려하였으며, 흙막이 가시설 굴착깊이는 터널깊이와 동일하게 적용하였다. 지반조건은 Fig. 2의 설계사례를 참고하여 터널 상부는 토사지반으로 고려하고 터널 하부는 풍화암으로 고려하였으며, 토사지반의 경우 지반의 N치를 5, 15, 30으로 달리 적용하였다. 이에 3차원 수치해석 조건은 총 6개의 케이스를 고려하였다. 그리고, 2차원 수치해석은 3차원 수치해석 조건에 추가적으로 구조물 간 이격거리를 1.5D(15m), 3.0D(30m), 4.5D(45m)로 달리하여 총 18개의 케이스를 고려하였다. 수치해석 시 사용한 프로그램은 지반분야에 대한 해석에 널리 활용되는 MIDAS GTS NX를 사용하였다.
4.2 지반 및 재료 물성치
본 수치해석 시 적용한 지반과 구조물의 물성치는 Table 5와 같이 설계 시 일반적으로 사용되는 값을 적용하였으며 (Hwang, 2020; Yang, 2020), 감쇠비의 경우는 Moon(2013), Feldmann et al.(2016)의 연구에서 사용한 값을 참고하여 적용하였다.
Table 5.
Input data in numerical analysis
4.3 3차원 수치해석을 통한 열차 진동속도 결정
열차 진동속도를 결정하기 위한 3차원 수치해석의 대표 모델링은 Fig. 4와 같다. Fig. 4(a)와 같이 해석지반의 길이는 FTA(2018)에서 제시한 영향 거리인 500m, 해석 지반의 폭과 깊이는 경계조건의 영향을 받지 않는 100m로 모델링하였다. 지반요소는 3차원 고체 요소로 모델링하였으며, 터널에 인접한 경우 조밀하게 적용하고(요소크기=1.0m), 경계부의 경우 느슨하게 적용하였다(요소크기=5.0m). 아치형 터널은 Fig. 4(b)와 같이 2차원 판요소로 모델링하였으며, 단면크기는 터널의 편평률(0.7)을 고려하여 폭 10.0m, 높이 7.0m를 적용하였다.
3차원 수치해석을 이용하여 지반조건과 터널 설치깊이에 따른 열차 진동속도를 산정한 결과는 Fig. 5와 같다. 해석결과 터널 깊이가 2.0D인 경우의 열차 진동속도는 지반조건별로 최댓값이 6.54~7.47mm/s로 나타났으며, 터널 깊이가 3.0D인 경우의 열차 진동속도는 지반조건별로 최댓값이 6.97~7.57mm/s로 나타났다. 열차 진동속도를 검토한 결과 터널의 깊이와 토사지반의 N치가 증가할수록 열차 진동속도는 증가하지만 그 차이는 미미한 것으로 검토되었다. 3차원 수치해석 결과로 산정한 열차 진동속도는 2차원 수치해석 시 가진원의 열차 진동속도로 활용하였다.
4.4 2차원 수치해석 모델링
지반 진동속도와 지반 진동가속도를 산정하기 위한 2차원 수치해석의 대표 모델링은 Fig. 6과 같다. Fig. 6(a)와 같이 해석지반의 길이는 FTA(2018)에서 제시한 영향 거리를 고려하여 250m 이상으로 모델링하였으며, 해석 지반의 깊이는 터널 깊이를 고려하여 경계조건의 영향을 받지 않는 100m로 모델링하였다. 지반요소는 2차원 평면변형률 요소로 모델링하였으며, 터널과 흙막이 가시설에 인접한 경우 요소크기를 작게(요소크기=1.0m), 경계부의 경우 요소크기를 크게 적용하였다(요소크기=5.0m). 아치형 터널은 Fig. 4(b)와 같이 1차원 빔요소로 모델링하였으며, 단면크기는 3차원 수치해석과 동일하게 적용하였다.
흙막이 가시설은 국내 지반굴착 시 널리 사용되는 버팀식 벽체를 적용하였으며, Fig. 6(b)과 같이 1차원 빔요소로 모델링하였다. 벽체와 버팀대는 H-300×300×10×15의 제원을 적용하였으며, Moon(2021)의 연구를 참고하여 버팀대의 수직간격은 2.0m로 고려하였다. 벽체 근입깊이는 풍화암에 2.5m를 근입하였으며, 모멘트 균형법을 이용하여 안정성이 확보됨을 확인하였다.
5. 2차원 수치해석 결과 및 분석
5.1 열차진동에 의한 지반 진동속도 및 진동가속도 Fig. 7 및 Fig. 8은 지반의 N치가 5이고, 터널의 깊이가 z=3.0D인 경우에 대한 2차원 수치해석 결과로서 터널과 흙막이 가시설 사이에서 전달되는 진동속도와 진동가속도의 대표적인 경향을 보인 것이다.
여기서, Fig. 7(a)~(b)는 구조물 간 이격거리가 1.5D인 경우와 4.5D인 경우의 지반 진동속도 발생 경향을 비교한 결과이며, Fig. 8(a)~(b)는 구조물 간 이격거리가 1.5D인 경우와 4.5D인 경우의 지반 진동가속도 발생 경향을 비교한 결과이다.
검토결과 터널과 흙막이 가시설의 이격거리가 증가할수록 터널로부터 가시설 구조물에 전달되는 진동속도와 진동가속도는 감소하였다. 이는 Clouteau et al.(2004)의 연구와 유사한 결과를 보인 것으로 구조물 간의 이격거리가 증가할수록 지반 내에서 진동 수준이 감소함을 의미한다.
수치해석을 통해 산정한 진동속도는 Ungar and Bender 평가방법의 변수로 사용되며, 진동가속도는 진동가속도 레벨 평가방법의 변수로 사용된다.
5.2 열차진동 평가방법에 따른 지반 진동 수준
Fig. 9는 터널과 흙막이 가시설 구조물 간의 진동 수준을 평가하기 위해 각 구조물의 이격거리에 따른 해석결과 측점 위치를 나타낸 것이다.
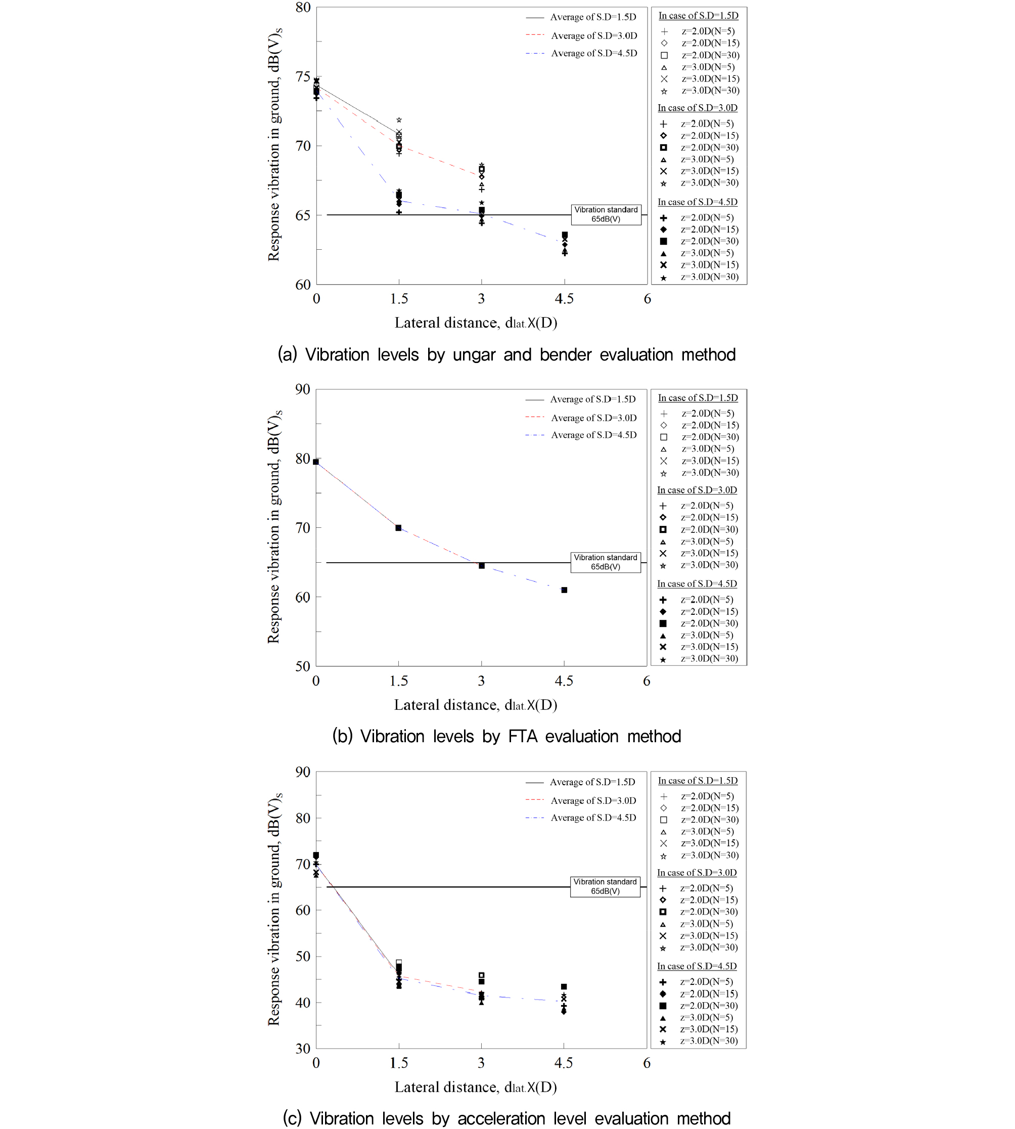
Table 4의 수치해석 조건별 열차진동에 의한 지반 진동 수준은 Fig. 10과 같이 Ungar and Bender, FTA, 진동가속도 레벨 평가방법을 이용하여 산정하였으며, 이를 Table 2의 진동 허용규제기준인 65dB(V)에 대하여 비교·검토하였다.
Fig. 10(a)는 수치해석 조건에 따른 지반 진동속도를 Ungar and Bender 평가방법에 적용하여 진동 수준을 산정한 결과이다. Ungar and Bender 평가방법에 의한 진동 수준 평가결과에 의하면 이격거리가 3.0D 이하인 경우 흙막이 가시설에 전달된 진동 수준은 허용규제기준을 초과하므로 진동에 대한 저감 대책이 필요한 것으로 나타났으며, 이격거리가 4.5D인 경우 진동 수준이 허용규제기준을 만족하는 것으로 평가되었다.
Fig. 10(b)는 FTA 평가방법을 이용하였으며, Fig. 1과 수치해석 조건에 따른 보정을 실시하여 진동 수준을 산정한 결과이다. FTA 평가방법에 의한 진동 수준 평가결과에 의하면 이격거리가 1.5D 이하인 경우 흙막이 가시설에 전달된 진동 수준은 허용규제기준을 초과하므로 진동에 대한 저감 대책이 필요한 것으로 나타났으며, 이격거리가 3.0D인 경우 진동 수준이 허용규제기준을 만족하는 것으로 평가되었다.
Fig. 10(c)는 수치해석 조건에 따른 지반 진동가속도를 진동가속도 레벨 평가방법에 적용하여 진동 수준을 산정한 결과이다. 진동가속도 레벨 평가방법에 의한 진동 수준 평가결과에 의하면 이격거리가 1.5D 이상인 경우 진동 수준이 허용규제기준을 만족하는 것으로 평가되었다.
Ungar and Bender, FTA, 진동가속도 레벨 평가방법에 따른 지반 진동 수준을 분석한 결과 터널의 깊이와 토사지반의 N치가 증가할 경우 지반 진동 수준도 증가하지만 그 차이는 크지 않은 것으로 나타났다. 그러나, 터널과 흙막이 가시설의 이격거리는 증가할수록 흙막이 가시설에 전달되는 진동 수준이 확연하게 감소하는 것으로 나타났다. 따라서, 지반 진동 수준을 좌우하는 영향인자는 구조물 간의 이격거리인 것으로 평가되며, 이는 구조물 간의 이격거리가 달라질 경우 인접 구조물에 전달되는 진동영향이 달라질 수 있음을 보여준다.
5.3 열차진동 평가방법의 적정성 검토
Ungar and Bender, FTA, 진동가속도 레벨 평가방법을 이용하여 산정한 진동 수준은 Fig. 10과 같이 모두 상이한 결과를 보였다. 따라서 실제현장의 열차진동 계측데이터를 적용한 설계사례의 진동 수준과 본 연구에서 산정한 구조물 간 이격거리별 진동 수준을 비교하였으며, 이를 통해 열차진동 평가방법의 적정성을 검토하였다. 이때, 설계사례의 지반 및 구조물 조건은 Fig. 2와 같이 본 연구에서 고려한 조건과 유사한 조건을 가진 현장이며, 진동 수준은 구조물 간의 이격거리를 고려하여 산정한 결과이다.
열차진동 평가방법의 적정성 검토 결과는 Fig. 11과 같으며, 설계사례의 지반 진동 수준과 본 연구의 지반 진동 수준을 비교한 결과 Ungar and Bender 평가방법이 가장 근접한 수치와 기울기를 보이는 것으로 평가되었다.
따라서, 본 연구에서 고려한 3개의 열차진동 평가방법 중 Ungar and Bender 평가방법이 가장 적정한 것으로 평가되며, 터널과 인접 구조물 간의 적정 이격거리는 >Fig. 10(a)와 같이 Ungar and Bender의 진동 수준이 허용규제기준을 만족하는 4.5D 이상인 것으로 평가된다.
6. 결 론
본 연구는 열차진동에 의해 발생하는 인접 구조물의 진동 수준을 수치해석과 열차진동 평가방법을 이용하여 분석하였으며, 이를 설계사례와 비교하여 열차진동 평가방법의 적정성을 검토하였다. 본 연구의 주요 결론은 다음과 같다.
(1) 터널의 깊이와 토사지반의 N치에 따른 지반 진동 수준의 차이는 크지 않다. 그러나, 터널과 흙막이 가시설의 이격거리는 지반 진동 수준을 좌우하는 주요 영향인자인 것으로 평가되며, 이격거리가 증가할 경우 지반 진동 수준은 감소한다.
(2) 본 연구에서 산정한 진동 수준과 실제 현장의 열차진동 계측데이터를 적용한 설계사례의 진동 수준을 비교한 결과 Ungar and Bender 평가방법, FTA 평가방법, 진동가속도 레벨 평가방법 중 Ungar and Bender 평가방법이 가장 적정한 것으로 평가된다.
(3) 터널과 인접 구조물 간의 적정 이격거리는 Ungar and Bender 평가방법의 진동 수준이 허용규제기준을 만족하는 4.5D 이상인 것으로 평가된다.













