1. 서 론
일반적으로 실트질 혹은 점토질 재료는 자갈질이나 모래질 재료에 비하여 과도한 침하를 유발하므로 성토재료 등으로 사용하는 경우에는 시공 전 재료특성에 대한 면밀한 분석과 주의가 필요하다. 최근 개정된 국내 철도노반에 대한 설계기준(KDS 47 10 25, 2021)과 시방서(KCS 47 10 25, 2021)에 따르면 Table 1과 같이 일반철도 및 고속철도에 대해서 자갈궤도의 경우 상부노반에서는 안정처리된 [C군] 재료까지 사용할 수 있으며 하부노반에서는 안정처리된 [D1군] 혹은 [C군]재료까지도 사용할 수 있다. 콘크리트궤도의 경우에는 엄격한 침하기준으로 인하여 상부노반과 하부노반 모두 안정처리된 [B군] 재료까지 사용할 수 있으나, [B군] 재료는 통일분류상 GC, SP, SM, SC 재료나 경암버력(박리성이 높은 것), 연암버력, 취약암버력 등을 모두 포함하므로 실트질 혹은 점토질 흙이 포함된 모래나 자갈재료의 사용이 가능하며, 자갈궤도의 경우에는 이보다 훨씬 열악한 [C군] 재료인 ML, CL 및 유기질 재료까지도 사용이 가능하다. 그러나 아직까지도 자갈과 토사가 혼합된 성토 재료에 대한 침하특성에 대한 연구는 매우 부족하다. Ham(2007)은 토사가 함유된 자갈의 다짐특성에 관한 연구를 수행하여 자갈혼합율 40%(토사혼합율 60%)에서 최대 건조단위중량(γdmax)과 최소 압축지수(Cc)가 도출되는 것을 확인하였으나, 혼합시료가 소성성이 없는 모래질의 화강풍화토라는 한계가 있었다. Lee et al.(2009)은 현장에서 사용되는 콘크리트궤도 노반의 암성토재료에 대한 반복 침투에 따른 wetting collapse와 장기압축특성을 확인하였으며, Jeong et al.(2000)은 모형토조에서 암석재료에 대한 흙재료의 혼합비율을 23.03, 33.21, 41.78, 50.73%로 변화시켜가며 다짐장비 통행횟수 8회의 경우에 흙 혼합비율 41.78%에서 최대 건조단위중량과 평판재하시험에서의 지지력계수가 도출됨을 확인하였다. 그 외에도 Song et al.(2008)은 경부고속철도 현장에서 채취한 시료를 사용하여 실험을 수행한 결과, 세립분 함유량이 5, 15, 25%로 증가됨에 따라 최대 건조단위중량이 증가하는 것을 확인하였다.
Table 1.
Fill material for conventional and high - speed railway (KDS 47 10 25, 2021; KCS 47 10 25, 2021)
Gordon(1986)은 다짐시험 결과를 토대로 암성토 재료를 토사채움 비율(4번체 통과율)에 따라 clean rockfill(20% 이하), transition rockfill(20~30%), matrix encased rockfill(30~50%), rocky soil fill(50% 이상)로 구분한 바 있으며, Penman(1971)은 암성토 지반의 경우 암성토 재료가 일정 수준의 세립토를 포함하고 적절히 다져지는 경우 침하량이 최소가 될 수 있다고 하였다. 따라서 자갈만을 사용하는 것에 비하여 비록 압축성이 큰 재료일지라도 적절한 비율의 토사가 혼합되는 경우에는 성토체의 장기침하량을 감소시키는 효과가 있을 것으로 판단되지만 이를 검증할 수 있는 정량적 연구는 매우 부족한 실정이다.
이에 본 연구에서는 암석 성토재료에 실트질 혹은 점토질의 세립분이 포함된 토사가 혼합되었을 경우 장기 침하거동을 분석하였다. 토사재료는 모래와 카올리나이트 혼합 재료를 사용하였으며, 실트질 재료 혼합비율에 따른 다양한 물리적 특성 및 입자간 간극비(intergranular void ratio)와 Transition Fine Content(TFC) 등을 확인하였다. 이 후 자갈성토 재료의 토사 혼합비율에 따라 중형챔버를 활용한 일차원 압축실험을 통하여 성토재료의 장기압축거동을 분석하였다.
2. 재료 특성 및 실험계획
2.1 토사재료
토사가 혼합된 암성토 재료의 장기 침하거동을 확인하기에 앞서 선행연구를 통하여 토사재료의 다양한 물리적 특성을 분석하였다. 현장에서 쌓기재료로 사용되는 토사재료에는 실트 및 점토 성분이 일정 부분 포함되므로 이를 고려하기 위하여 사질토와 세립토를 다양한 비율로 혼합하여 실험을 실시하였다. 사질토 재료는 ISO sand라고도 알려져 있는 CEN 표준사를 사용하였다(TSI, 2002). 모래(CEN)와 함께 혼합되는 실트질 재료는 점토광물인 카올리나이트(KC)가 사용되었다. 카올리나이트의 화학 구성식은 Al2[Si2O5](OH)4 이고 구성 성분은 주로 이산화규소(SiO2)와 산화알루미늄(Al2O3)으로 구성되어 있으며, CEN 표준사와 카올리나이트의 입도분포 실험결과와 입자형상은 Fig. 1에 함께 도시되어 있다. 이에 더하여, 기본 물성실험을 통하여 확인된 비중, 유효입경, 최대 및 최소 간극비 등을 Fig. 1에 함께 정리하였다. Fig. 1의 입도분포와 현미경 사진에서 볼 수 있는 것과 같이 CEN 표준사는 다른 국내 주문진표준사 등에 비하여 비교적 넓은 입도분포의 범위를 가지고 있으며, 조립질의 입자 형상을 가지고 있다. 카올리나이트의 경우 입자형상은 판형이며 실트질 크기의 입자를 주로 포함하고 있다. Spagnoli et al.(2011)은 카올리나이트와 일라이트의 전단 강도가 전기 전도도(EC), 이온 강도(I) 및 pH가 다른 용액에 의해 영향을 받는다고 보고한 바 있다.
모래에 카올리나이트 혼합비율을 10, 15, 20, 25, 30, 40, 60, 70%로 변화시켜가며 총 8가지 조건으로 시료를 조성하였고, 각 시료에 대하여 기본물성시험과 다짐시험, 표준압밀시험 등을 수행하였다. 토사재료의 세립분 혼합비율에 따른 기본물성치는 Table 2에 정리되어 있다. 이때 Gs는 시료의 비중, Fc(Fine content)는 카올리나이트의 혼합비율을 나타낸다. 또한, 흙의 소성도를 평가하기 위한 LL(Liquid Limit)은 액성한계, PL(Plastic Limit)은 소성한계, PI(Plasticity Index)는 소성지수, USCS(Unified Soil Classification System)는 통일분류법으로 분류한 시료의 종류를 나타낸다. Table 2에서 정리된 액성한계와 소성지수는 Fig. 2의 Casagrande 도표에 함께 도시하였으며, 카올리나이트의 혼합비율이 증가함에 따라 비표면적이 큰 카올리나이트의 특성에 의하여 입자간 결합특성이 강해지고 액성한계와 소성한계가 점차 증가하는 경향성을 보이지만 소성지수는 반대로 감소하는 경향을 보인다(Warkentin, 1972; Jyothi et al., 2020).
Table 2.
Index properties of kaolinite-s and mixtures
토사재료의 압축특성을 파악하기 위하여 다짐시험과 표준압밀시험을 수행하였다. 이때, 성토 현장의 조건과 유사한 상황을 모사하기 위하여 시료는 D다짐 조건 하에서 90%의 다짐도로 다짐시험을 수행하였으며, 시험 결과는 다음 Table 3 및 Fig. 3에 정리되어 있다. 결과에서 확인할 수 있는 것처럼 세립분의 함량이 증가할수록 최적함수비는 증가하고 있으며, 최대 건조단위중량은 카올리나이트 함량이 20%가 될 때까지 증가하다가 감소하는 경향을 보인다.
Table 3.
Index properties of kaolinite-sand mixtures
표준압밀시험 결과는 Fig. 4에 도시되어 있으며, 실험결과 세립분의 혼합비율이 다양한 하중 단계에서 압축거동에 큰 영향을 주는 것을 확인할 수 있었다.
CEN 표준사의 emax 값은 0.7, emin 값은 0.49이고, 카올리나이트의 emax 값은 1.44, emin 값은 0.9이다(Fig. 1). Fig. 4에서 볼 수 있는 것과 같이 초기 간극비는 세립분 혼합비율에 따라서 최대 0.35(Δe = 0.35)까지 큰 편차를 보이고 있으며, 최종 하중단계에서는 그 차이가 다소 줄어드는 경향(Δe = 0.30)을 보인다. 여기서 초기 간극비의 차이는 각각의 조건에서 다짐도 90%를 기준으로 조성되었기 때문에 나타나고 있으며, 연직유효응력이 24.52kPa에서 784.53kPa까지 증가할 때의 간극비 감소량은 평균 0.8 정도로 나타났다. 이는 다짐도가 클수록 큰 강도와 작은 압축량 그리고 작은 간극비 변화를 보이기 때문이다(Chhun et al., 2018). 또한 세립분의 혼합비율을 고려하였을 때, 혼합비율이 작을수록 간극비의 변화가 작다. 그 이유는 세립분 혼합비율이 작을 때는 세립분이 전단저항을 발휘하지 못하고 혼합비율이 커지면 모래입자가 전단저항을 발휘하지 못하기 때문이다(Yang et al., 2006).
실트질 모래의 압축거동은 입자간 간극비(intergranular void ratio)와 Transition fine content(TFC)에 의하여 큰 영향을 받는다는 사실이 기존의 많은 연구에서 보고되고 있다(Thevanayagam et al., 2002; Ni et al., 2004; Yang et al., 2006; Murthy et al., 2007; Papadopoulos & Tika, 2008). 입자간 간극비는 일정 비율의 간극 공간이 세립분에 의하여 차지되어 혼합토의 거동이 조립토 지배적인 거동에서 세립토 지배적인 거동으로 바뀌는 간극비를 말하며, Eq. (1)과 같이 표현될 수 있다(Monkul, 2005).
여기서, G는 혼합토의 비중이며 Gs는 사질토의 비중, Gf는 세립토의 비중, e는 전체 혼합토의 간극비, es는 입자간 간극비, FC는 ‘Fine Content’이다.
또한 TFC는 입자간 간극비와 세립분함유율의 관계에서 구할 수 있으며, 일정 유효응력 하에서 입자간 간극비(es)가 사질토의 최대 간극비(emax)와 같을 때로 정의할 수 있다(Monkul & Ozden, 2005). 이 연구에서는 상대밀도 시험(ASTM D-4254)에서 구한 CEN 표준사의 최대 간극비(emax) 0.7에 대하여 TFC를 산정하였으며, 그 결과는 Table 4에 정리된 것처럼 20에서 26%의 범위로 나타난다. 유효응력 증가에 따라 TFC가 증가하는 이유는 큰 연직유효응력에서는 혼합토의 거동 변화를 유발하는 세립분 혼합비율이 증가하기 때문이다(Monkul & Ozden, 2007). 실제로 세립분 함량에 따른 압축지수 변화를 Fig. 5와 같이 도시하면 각 하중단계 별로 세립분 함량이 TFC보다 증가할 때, 압축지수가 급격히 증가하면서 혼합토의 거동이 조립토 지배적인 거동에서 세립토 지배적인 거동으로 바뀌게 됨을 확인할 수 있다.
Table 4.
Transition fine contents under different vertical effective stress
| Effective stress (kPa) | TFC (%) |
| 24.52 | 21 |
| 49.03 | 22 |
| 98.07 | 23 |
| 196.13 | 24 |
| 392.27 | 25 |
| 784.53 | 26 |
2.2 토사혼합 자갈성토 재료
고속철도와 같은 대규모 현장의 경우, 노반 성토를 위한 양질의 토사를 공급받기가 어려우므로 인근의 토사와 암버럭 등을 함께 활용하여 성토를 진행한다. 국내 철도노반에 대한 시방서(KCS 47 10 25, 2021)에는 콘크리트궤도용 암 쌓기 재료 요건이 상부노반과 하부노반에 대하여 Table 5와 같이 제시되어 있다. 또한 자갈도상의 입도분포는 22.4mm에서 63mm로 Fig. 6은 이러한 하부노반의 입도분포 상한 및 하한 경계와 함께 사용된 재료의 토사혼합비에 따른 입도를 보여준다. 본 실험에서는 자갈도상의 입도분포와 유사한 입경을 갖도록 Fig. 7의 재료를 각각 입경 별로 Ø40mm: 6kg, Ø31.5mm: 6kg, Ø22.4mm: 4kg, Ø10mm: 4kg로 배합하여 성토재료를 구성하였으며, 여기에 다양한 비율로 토사재료를 혼합하여 성토지반을 구성하였다. 이때 혼합토사의 비율이 100%인 경우 하부노반 입도분포 기준에 포함된다.
Table 5.
Rock material for concrete track (KCS 10 25, 2021)
Table 6은 제방의 장기침하거동 실험을 위한 자갈과 모래-카올리나이트 혼합 비율과 실험 조건을 나타낸 것이며, Fig. 8은 중형 압력챔버 내부에 조성된 간극 대비 토사 혼합 비율에 따른 암성토 지반을 보여준다. 예비실험을 통하여 자갈 시료의 간극 부피를 확인한 후 간극 부피 대비 토사가 0%에서 100%까지 채워질 때의 양을 계산하고 총 7단계로 혼합비를 결정하였다. 여기서, 시료의 간극 대비 토사 혼합비율은 토사(모래-카올리나이트 혼합물)가 자갈 사이의 간극을 채우는 토사의 부피비율을 의미하며, 예를 들어 토사 혼합비율 100%는 토사가 자갈 사이의 간극을 모두 채우는 것을 의미한다. 간극대비 부피비로 혼합비율 100%를 중량비로 환산하면 37.3%의 혼합비로 산정할 수 있으며, 각 간극채움비율을 중량비로 환산한 토사 혼합비율 역시 Table 6에 함께 정리되어 있다.
Table 6.
Test condition
2.3 실험 계획
Fig. 9는 성토체의 장기침하거동을 모사하기 위한 구성도와 그 실험 장비를 나타낸 것이다. 먼저 중형 압력챔버는 내경 300mm, 높이 485mm의 원통형으로 구성되어 있으며, 챔버 내부의 상부 강성가압판에는 컴프레서(compressor)와 연결된 레귤레이터(regulator)를 이용하여 일정한 공기압을 가하여 시료를 단계별로 압력을 가할 수 있도록 하였다. 챔버 내부의 벽면에는 크롬 도금을 하였으며, 약 1mm 두께로 실리콘 그리스를 도포하여 시료와 압밀챔버 사이의 마찰을 최소화하였다. 상부가압판의 주변에는 O-ring을 사용하여 가압판 상부에 가해진 공기압이 새지 않고 완전히 시료에 가해지도록 하였다.
중형 압력챔버에 다양한 비율의 토사가 혼합된 암성토 재료가 준비되면 이를 동일한 양으로 나누어 3개 층으로 다짐을 실시하였다. 이 때, 시료의 최종 높이는 200mm이며, 실험에 적용된 단위체적당 다짐에너지(E)는 Eq. (2)를 이용하면 54.96kN-m/m3로 산정되었다.
여기서, Wr은 래머(rammer)의 무게(kN), H는 낙하고(m), Nb는 각 층의 다짐횟수, Nl은 다짐 층수, V는 몰드(mold)의 체적(m3)을 나타낸다.
챔버 내에 암석재료 성토체 지반 조성이 완료되면, 상부 가압판을 중형 압력챔버와 결합한 후에 컴프레서와 레귤레이터를 이용하여 일정한 상재압을 챔버 내부에 가하였다. 본 실험에서는 현장조건과 유사한 하중 조건에서 성토체 지반을 모사한 시료에 침하가 발생할 수 있도록 최대 180kPa의 상재하중을 산정하였고, 30kPa의 하중을 단계적으로 추가하면서 30kPa, 60kPa, 90kPa, 120kPa, 150kPa, 180kPa의 순서대로 총 6단계의 하중을 재하하였다. 그리고 상재하중을 가하는 동시에 시간에 따른 침하량을 계측하였다. 각 단계별 하중을 3시간 동안 재하 후 침하거동이 일정 범위 내로 수렴하여 추가적인 침하가 발생하지 않으면 다음 단계의 하중을 재하하였다.
3. 실험 결과 및 분석
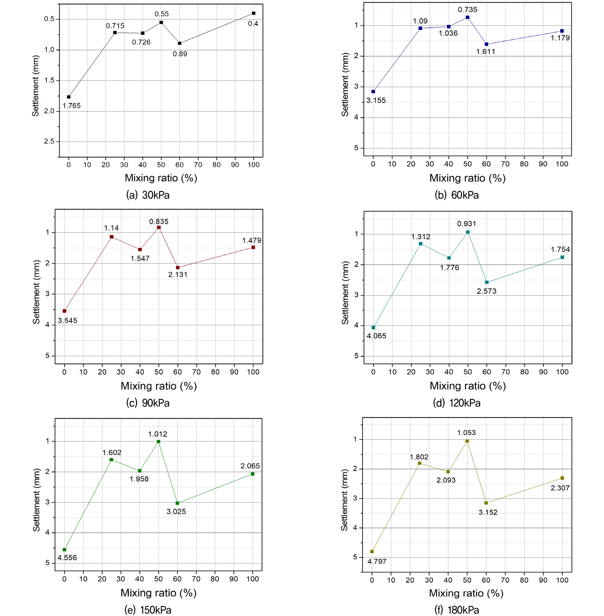
Fig. 10은 다양한 토사 혼합비율에서의 단계별 하중재하에 따른 침하거동 및 최종 침하량을 정리하여 도시한 것이다. 각 실험조건마다 6단계의 하중이 재하되었으며, 모든 실험조건에서 하중재하 시 대부분의 즉시침하는 약 2분 이내에서 빠르게 종료되었을 것으로 나타났다. 6개의 실험조건 외에도 비교를 위하여 모래와 카올리나이트 혼합토사로만 구성된 지반에 대해서 동일한 조건으로 압축실험을 수행하였으며, 전체적인 침하양상은 동일하였으나 최종침하량은 31.46mm로 자갈혼합 재료에 비하여 약 10배 이상인 것으로 나타났다. 최종침하량만을 비교한 그래프는 Fig. 11과 같으며, 자갈만으로 이루어진 지반에 비하여 침하량이 큰 토사가 혼합되더라도 침하량 감소효과가 큰 것으로 나타났다. 흥미로운 사실은 토사함량이 증가함에 따라서 침하량이 감소하다가 간극채움비율 50%(중량비 18.7%)를 넘어서면 다시 침하량이 증가한다는 점이다. 정리하면 자갈 사이의 간극을 흙이 채우면 침하를 억제하는 효과가 있으며, 간극채움비 50%에서 침하량은 토사만으로 이루어진 지반과 비교하였을 때 최대 93%, 암석만으로 구성된 지반에 비하여 최대 56%까지 감소하였다.
좀 더 자세한 분석을 위하여 각 하중 단계별로 발생한 침하량을 토사혼합비에 따라서 정리하여 Fig. 12에 도시하였다. 그 결과 30kPa 하중단계를 제외하고 모든 하중단계에서 토사혼합비 50%에서 최소 침하량이 나타나는 것을 확인할 수 있다.
암성토 제방의 경우 전체 침하량은 즉시 침하와 크리프 침하로 인한 침하량으로 구분할 수 있다. 이때 크리프 침하량을 예측하고 관리하는 것은 향후 제방의 유지관리에서 매우 중요하다. 성토체의 크리프 침하는 log(시간)과 선형 관계를 이루며 양질의 재료를 사용하여 충분히 다진 경우에도 성토고의 0.1~0.5%의 크리프 침하가 발생한다(Charles, 2008; JICA, 2015; 일본철도종합기술연구소, 2007). 이러한 크리프 침하량을 예측하기 위한 크리프 계수 α는 Eq. (3)을 이용하여 구할 수 있다.
여기서, Δs: 크리프 침하량, α: 크리프 계수, H: 성토고, t2: 크리프 경과 시간, t1: 크리프 기준 시간을 나타낸다.
Table 7은 6단계의 하중재하 시 발생한 크리프 침하량을 토사 혼합비율에 따라 산정하여 구한 크리프 계수를 나타낸다. Fig. 13은 산정된 크리프 계수를 다양한 토사 혼합비율에서 각 하중 단계로 구분하여 도시하였다. 이때, 모든 하중 단계에서 토사 혼합비율 50%일 때 크리프 계수가 가장 작은 것을 확인할 수 있으며, 이는 토사 혼합비율이 즉시 침하량뿐만 아니라 크리프 침하량의 감소에도 영향을 미친다는 것을 보여준다. 또한, 전체 압축거동과 유사하게 토사 혼합비가 증가할수록 크리프 침하가 감소하다가 토사 혼합비가 50%를 넘어서면 다시 크리프 침하가 증가하는 특성을 보여준다. 다만 전체 침하량은 토사 혼합비 100%에서 자갈침하량보다 매우 작았던 것에 비하여 크리프 침하량은 토사 혼합비 100%에서 자갈침하량과 유사하거나 더 크게 나타나 토사 함량의 과도한 증가는 크리프 침하량 증가에 매우 큰 영향을 주는 것으로 나타났다.
Table 7.
Creep coefficient
4. 결 론
본 연구에서는 세립분이 함유된 토사를 혼합했을 때 자갈 성토 제방의 침하특성을 분석하기 위하여, 먼저 세립분이 함유된 토사 재료에 대한 물리적 특성을 파악한 후, 다양한 토사함량에 따라 암성토 재료의 압축거동을 분석하였다. 자갈 재료에 대한 토사재료의 간극채움비율을 0, 25, 40, 50, 60, 100%로 변화시켜가며 30cm 중형 압력챔버에 시료를 조성하고 단계별 하중을 재하하여 일차원 압축시험을 수행하였다. 이러한 실험을 통하여 토사가 혼합된 암성토 재료의 압축특성을 분석한 결과는 다음과 같다.
(1) 모래-카올리나이트를 혼합한 토사재료의 물리적 특성을 분석한 결과, 세립분의 함량이 증가할수록 최적함수비는 증가하고 최대건조단위중량은 카올리나이트 함량이 20%가 될 때까지 증가하다가 감소하는 경향을 보인다. 또한 각 하중 단계에서 산정된 TFC는 보다 하중단계에 따라서 21~26%의 범위로 나타났으며, 이는 혼합토의 거동이 조립토 지배적인 거동에서 세립토 지배적인 거동으로 바뀌는 것을 의미한다.
(2) 토사혼합 암성토 재료에 대한 일차원 압축시험 결과, 모든 실험조건에서 하중재하 시 대부분의 즉시 침하는 약 2분 이내에서 빠르게 종료되었을 것으로 나타났다. 또한 자갈만으로 이루어진 지반에 비하여 세립분이 포함된 토사가 혼합되면 침하량 감소효과가 큰 것으로 나타났으며, 토사의 간극채움비율이 50%(중량비 18.7%)일 때 침하량은 토사만으로 이루어진 지반에 비하여 최대 93%, 암석만으로 구성된 지반에 비하여 최대 56%까지 감소하였다.
(3) 크리프 계수를 토대로 토사혼합 암성토 제방의 크리프 침하량을 비교하였을 때, 모든 하중 단계에서 토사 혼합비율 50%일 때 크리프 계수가 가장 작은 것을 확인할 수 있었다. 다만 토사 혼합비 100%일 때 크리프 침하량은 자갈침하량과 유사하거나 더 크게 나타나 토사 함량의 과도한 증가는 크리프 침하량 증가에 매우 큰 영향을 주는 것으로 나타났다.















