1. 서 론
2. 이론적 배경
2.1 초속경 복합매트
2.2 철도 비탈면 설계기준
3. 물성시험
3.1 개요
3.2 시험방법
3.3 시험 결과
4. 수치해석
4.1 해석 조건 및 모델링
4.2 해석 결과
5. 결 론
1. 서 론
국내 철도 비탈면은 지하수의 영향으로 인해 붕괴되거나 유실되는 사례가 발생하고 있다. 특히 여름철 강우량이 집중되는 국내의 경우 태풍, 폭우와 같은 기상이변으로 인해 철도 비탈면이 붕괴되는 사례가 많이 발생된다(Shin et al., 2000). 최근 철도 유지보수 관련 업무를 수행하는 작업자에게 발생하는 안전사고는 과거보다 증가하고 있는 추세이다. 또한 이러한 안전사고 예방을 위한 유지보수 작업은 열차 운행의 방해를 최소화하기 위해 열차가 운행하지 않는 심야시간에 수행되거나 열차 운행 중 긴급하게 진행된다(Kwak et al., 2004).
국내에서 사용하고 있는 비탈면 보호를 위한 공법은 대표적으로 식생공법과 숏크리트 공법이 있다. 그 중 식생공법은 식생을 피복하는 공법으로서 우수 침식을 방지하고 미관이 뛰어나며 침식이나 풍화속도를 억제하는 장점이 있다(Lee et al., 2005). 그러나 식생공법은 시공 기간도 길뿐만 아니라 계절적 요인 및 비탈면 안정화까지 걸리는 시간도 고려해야하는 단점이 있다. 숏크리트 공법은 식생공법과는 다르게 모르타르의 강도 발현 시간이 짧아 급속시공이 가능하다는 장점이 있으나 대형장비를 필요로 하여 장비 진입이 어려운 현장에서는 적용하기 곤란한 실정이다.
국외의 경우 기존에 사용되던 비탈면 보호공법(숏크리트 공법, 식생공법)의 문제점을 인지하고 이를 해결하기 위해 토목섬유와 시멘트, 건조모르타르로 구성된 GCCM(Geosynthetic Concrete Composite Mat) 공법의 사용이 증가하고 있다(Kim, 2016). 또한 다양한 연구들을 통해 GCCM의 비탈면 보호효과에 대해 연구 중에 있다. Hui et al.(2019)은 GCCM에 Aramid 섬유 시트를 적용하여 인장강도를 향상시킨 GCCM의 비탈면 안정해석한 결과를 발표한 바 있다. 또한 해석결과를 기존에 비탈면 보강공법으로 사용되던 숏크리트의 해석 결과와 비교·분석하였다. 해석 방법은 Abaqus의 유한요소해석인 FEM를 사용하였으며, 그 결과 숏크리트 공법 대비 비탈면 안전율이 약 2배 상승하였다. 또한 우기 시 비탈면 안전율은 28일까지 재령이 경과하여도 증가하는 경향을 보였다. Suched et al.(2020)은 현장실험과 수치해석을 통해 GCCM의 비탈면 토양 침식 보호 효과를 분석한 연구를 발표한 바 있다. 침투해석 프로그램인 SEEP/W를 사용하여 도출된 해석 결과를 다양한 비탈면 보호 공법과 비교하였다. 그 결과 GCCM으로 보호된 비탈면의 토양 침식이 가장 적게 발생하였다. Hui et al.(2016)은 GCCM과 지오그리드, 앵커로 보강한 보강토 옹벽의 수평변위 감소 효과 분석을 위해 설계 방법론을 제시하였다. 해석프로그램은 Abaqus 2D를 사용하여 수치해석을 수행하였다. 그 결과 수평변위는 보강재 강성에 반비례하였으며, GCCM의 보강효과를 확인하였다. Ngo et al.(2016)은 GCCM의 비탈면 안정성 효과 분석을 위해 모형 장비를 제작하여 실내실험을 수행하였다. 그 결과 GCCM을 적용한 구간 대비 적용하지 않은 구간에서 비탈면의 변위가 크게 발생하였다. 또한 GCCM을 적용하지 않은 구간에서는 간극수압이 증가하는 것으로 분석되었다. 이를 통해 GCCM의 비탈면 변위 균등화 효과를 파악하였으며 유효응력 증대를 통한 비탈면의 안정성 확보 성능을 분석하였다.
이처럼 GCCM의 비탈면 보호 효과를 위한 다양한 연구들이 수행되고 있지만 철도 비탈면 보호를 위해 GCCM 공법을 적용한 사례는 거의 없는 것으로 확인되었다(Kang et al., 2021). 또한 GCCM의 철도 비탈면 보호 효과에 관한 연구가 미흡하기 때문에 GCCM을 철도 비탈면에 적용하기 위해서는 이에 대한 연구가 필요한 실정이다.
따라서 본 연구에서는 기존 GCCM 대비 긴급 시공이 가능하고 성능을 개선시켜 개발한 초속경 복합매트(Rapid Hardening Composite Mat)의 철도 비탈면 보호 효과를 분석하였다. 철도 비탈면의 기울기, 환경적인 조건(건기 시, 우기 시), 성토 노반 높이 등을 고려한 2차원 수치해석을 수행하였다. 이때 초속경 복합매트는 물성시험을 수행하여 입력물성으로 산출하였다.
2. 이론적 배경
2.1 초속경 복합매트
초속경 복합매트는 기존에 지반 안정화 및 보강을 위한 콘크리트 매트인 GCCM 대비 초기 시공속도를 증진시킨 제품으로서 초속경 시멘트와 토목섬유로 구성되어 있다. 또한 초속경 복합매트의 구조는 (부직포-시멘트 재료-부직포)의 구조로 이루어진 GCCM과는 다르게 (부직포-초속경 시멘트-직포-부직포) 구조로 불투수성을 증진시켜 비탈면 유실 방지 및 보호효과를 가지고 있다. 초속경 복합매트의 제작은 특수바늘을 이용한 니들펀칭을 이용하여 구성하고 있는 부직포, 직포, 초속경 시멘트의 결합력을 증가시켰으며, 니들 펀칭 횟수를 달리하여 복합매트의 두께, 밀도 등을 조절할 수 있다. Fig. 1은 초속경 복합매트의 구조를 보여주고 있다.
초속경 복합매트를 철도 비탈면에 적용하였을 때 장점으로는 시공기면 확보가 어려운 구간에서의 시공기면 확보가 용이하여 비탈면 유실로 복구가 필요한 구간의 적용하기 적합하다. 또한 식생이 성장하여 유지보수가 어려운 구간에서 초속경 복합매트를 적용할 경우 식생을 원천적으로 차단하여 유지보수를 용이하게 할 수 있다. 한편 초속경 복합매트를 통한 노반의 배수로 확보가 가능하여 강우로 인한 침투를 방지하고 비탈면 안정성 확보가 가능하다.
기존에 사용되던 GCCM의 경우는 부직포 사이에 시멘트 재료로서 건조모르타르와 벤토나이트를 사용하여 1m2당 19kgf이며, 생산되고 있는 매트의 폭은 2.4m의 롤 형태로 생산되기 때문에 중장비의 사용이 필요하고 시공과 유지보수 측면에서 비용이 많이 발생하였다.
초속경 복합매트의 경우 부직포 사이에 초속경 시멘트를 사용하여 1m2당 18kgf이며, 매트의 폭은 1.1m로 작업자들의 운반 및 시공이 용이하다. 이에 초속경 복합매트는 중장비가 없어도 인력으로 시공이 가능하여 작업자의 안전 확보와 더불어 경제적인 시공이 가능하다. Table 1은 초속경 복합매트의 성능을 기존 CGGM과 비교한 결과를 나타내고 있다.
Table 1.
Performance of RHCM
| Division | RHCM | GCCM |
|
Uniaxial compressive strength (Curing time 1 day) | 50 MPa | 40 MPa |
|
Tensile strength (Curing time 28 days) | 32.5 kN/m | 21.6 kN/m |
| Contact pressure | 50 kPa | - |
2.2 철도 비탈면 설계기준
2.2.1 철도 비탈면 쌓기 기준
국가철도공단(2020)의 KR C-04020에 따르면 쌓기 비탈면의 형상은 Fig. 2와 같이 상부노반과 하부노반으로 나뉜다. 또한 쌓기 비탈면의 상부노반은 시공기면으로부터 고속철도의 경우 3m, 일반철도의 경우 1.5m이며, 원지반부터 상부노반 아래까지를 하부노반이라고 한다. Fig. 2는 쌓기 비탈면의 강화노반 유무에 따른 형상을 보여주고 있다.
비탈면 안정해석 시 비탈면의 최종 기울기는 쌓기 지반의 형상과 강도를 고려하여 결정하며, 실제 시공 시 변경사항이 생길 경우는 재시공을 수행해야 한다. 소단의 설치는 고속철도의 경우 6m 간격으로 설치하며 상부노반과 하부노반의 경계에 설치하고 일반철도의 경우 시공기면에서 5m 간격으로 설치한다. 설치 시에는 일반철도와 고속철도 소단의 폭을 1.5m로 하며 외측 방향으로 5%의 기울기를 둔다. Fig. 3과 Table 2은 비탈면의 표준 기울기를 나타내고 있다.
Table 2.
Standard of slope (KNR, 2020)
2.2.2 철도 비탈면 안전율 기준
국가철도공단(2020)의 KR C-04020에 따르면 장기적인 비탈면 안정해석에서 건기 시의 기준 안전율은 쌓기체 내에 지하수 조건이 없는 것으로 해석해야 하며 1.5 이상의 안전율을 확보해야 한다. 또한 우기 시 안전율은 지형조건과 배수조건 등을 판단하여 안정성에 가장 불리한 상태가 발생하는 조건을 적용해야 하며 침투해석을 통한 지하수위를 이용한 해석을 수행하여야 한다. 우기 시 기준 안전율은 1.3 이상이며 강우침투를 고려한 해석을 실시한다. 단기적인 비탈면 안정해석의 경우는 안전율 1.1 이상을 확보해야 하며 기간은 1년 미만의 단기간 안정성을 기준으로 한다. 지하수 조건은 장기적인 비탈면 안정해석의 우기 시 조건과 동일하게 적용하며 Table 3은 비탈면 안전율 기준을 나타내고 있다.
Table 3.
Standards for safety factor of railway slopes (KNR, 2020)
| Division | Criterion of safety factor | |
| Long-term | Dry season | F.S.>1.5 |
| Rainy season | F.S.>1.3 | |
| During an earthquake | F.S.>1.1 | |
| Short-term | F.S.>1.1 | |
3. 물성시험
3.1 개요
본 장에서는 수치해석 시 필요한 초속경 복합매트의 물성을 도출하기 위해 수행한 물성시험에 대한 내용을 다루었다. Kang et al.(2021)이 선행 연구한 초속경 복합매트의 보강 효과에 대한 연구에서는 기존 유사 제품인 콘크리트 캔버스(GCCM)의 물성을 사용하여 초속경 복합매트의 물성을 적용하였다. 이에 본 연구에서는 물성시험을 통해 초속경 복합매트의 물성을 도출하여 보다 정확한 수치해석을 수행하였다.
3.2 시험방법
물성시험은 KS F 2438에 의거하여 수행하였으며, 공시체제작은 ∅100×200mm의 원통형 공시체를 제작하였다. 공시체 표면에는 초속경 복합매트의 변형률 측정을 위한 스트레인 게이지를 부착하였으며, 하중은 유압시험기를 통해 초당 약 0.25MPa 범위로 재하하였다. 또한 결과의 기록은 하중/세로변형 = 50/1,000,000 일 때와 재하된 하중이 극한 하중의 40% 일 때를 측정하였다. Eq. (1)은 탄성계수의 산정식을 나타내고 있고, Eq. (2)는 포아송비의 산정식을 나타내고 있다. 또한 Fig. 4는 물성시험 전경을 보여주고 있다.
여기서, E : 탄성계수(MPa)
S1 : 세로 변형률에 대한 응력(MPa)
S2 : 가해진 최대 하중에 대한 응력(MPa)
ε2 : 응력 S2로 생긴 세로 변형률
여기서, μ : 포아송비
εt1 : 응력 S1으로 생긴 가로 변형률
εt2 : 응력 S2로 생긴 가로 변형률
ε2 : 응력 S2로 생긴 세로 변형률
3.3 시험 결과
물성시험 결과 초속경 복합매트(RHCM)의 탄성계수는 기존에 사용되던 GCCM과 동일한 1.90×104MPa로 나타났다. 하지만 포아송비의 경우 기존 GCCM 대비 약 16% 낮은 약 0.3으로 나타났다. Table 4는 초속경 복합매트와 GCCM의 물성을 나타내고 있다. 또한 Fig. 5는 초속경 복합매트의 물성시험 결과를 나타내고 있으며, Longitudinal은 포아송비를 도출하기 위한 세로 변형률의 그래프를 나타내고 있다.
4. 수치해석
4.1 해석 조건 및 모델링
수치해석의 조건으로는 성토노반, 기울기, 하중, 강우량, 지반조건 등이 있으며 성토노반의 경우 5~15m로 모델링하였다. 또한 비탈면 기울기의 경우 국가철도공단(2020)의 KR C-04020에 의거하여 21~40°로 하였으며, 철도 하중은 50kN/m2을 적용하였다. 강우량은 10~30mm/hr로 적용하여 비탈면 강우침투를 모사하였으며, 지반조건은 풍화토와 풍화암을 모사하였고 물성치는 국가철도공단(2012)의 KR C-12050을 참고하여 적용하였다. Table 5는 수치해석의 조건을 나타내고 있고 Table 6은 지반의 물성치를 나타내고 있다. 또한 Table 7은 초속경 복합매트의 물성치를 나타내고 있으며, Fig. 6은 수치해석의 모델링을 보여주고 있다.
Table 5.
Conditions of numerical analysis
Table 6.
Material property of ground (Korea National Railway, 2012)
| Division | Weathered soil | Weathered rock |
| E (MPa) | 20 | 500 |
| γ (kN/m3) | 18.9 | 22.6 |
| c (kN/m2) | 30 | 250 |
| φ (°) | 30 | 35 |
| ν | 0.35 | 0.3 |
4.2 해석 결과
4.2.1 건기 시 해석 결과
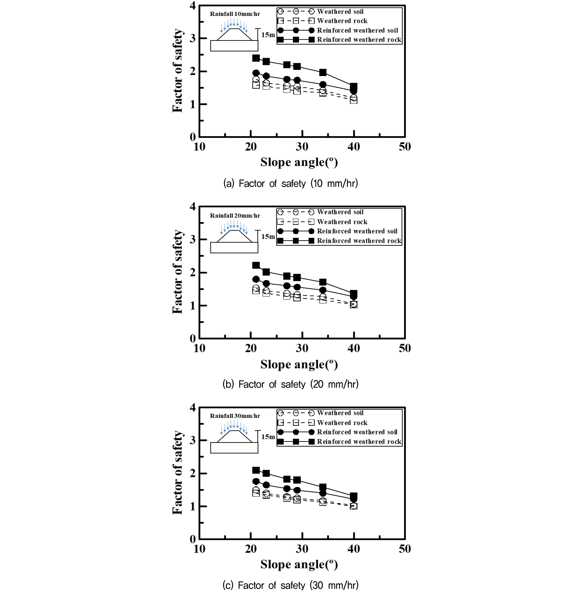
건기 시 모든 조건에서 초속경 복합매트를 적용하였을 때 비탈면 안전율은 증가하는 경향을 보였다. 또한 풍화암과 풍화토 조건에서는 비탈면 기울기와 성토높이가 감소할수록 비탈면 안전율은 증가하는 경향을 보였다. 한편 성토높이 15m의 기울기 40°에서 초속경 복합매트를 적용하지 않았을 때 비탈면 안전율은 국가철도공단(2020)의 KR C-04020에서 제시하는 건기 시 비탈면 안전율 기준인 1.5 이하의 1.32, 1.37인 것으로 나타났다. 반면 초속경 복합매트를 적용하였을 때는 1.5, 2.01로 안전율 기준을 초과하는 것으로 나타났다. Fig. 7은 성토높이별 해석결과를 나타내고 있다.
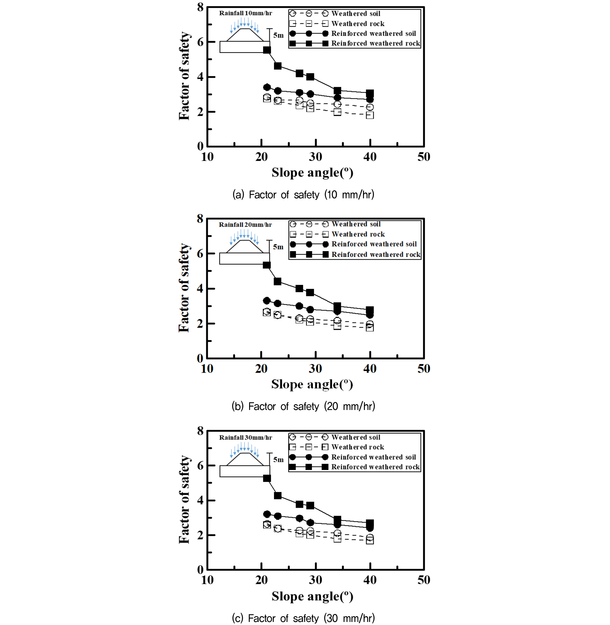
4.2.2 우기 시 해석 결과
우기 시 해석결과 건기 시와 동일하게 모든 조건에서 초속경 복합매트를 적용하였을 때 비탈면 안전율은 증가하는 경향을 보였다. 한편 풍화토 조건의 경우 성토높이 10m의 비탈면 기울기 40°, 강우량 20~30mm/hr에서 초속경 복합매트를 적용하지 않았을 때의 안전율이 1.29, 1.25로 국가철도공단(2020)의 KR C-04020에서 제시하는 안전율 기준 대비 낮은 안전율이 나타났다. 하지만 초속경 복합매트를 적용하였을 때 안전율은 1.6, 1.55로 나타나 기준 안전율 대비 높게 나타났다. 또한 풍화암 조건의 성토높이 10m의 비탈면 기울기 40°, 강우량 20~30mm/hr에서 초속경 복합매트를 적용하지 않았을 때 안전율은 1.25, 1.2로 풍화토 조건과 유사한 경향을 보였으며, 안전율 기준을 초과하지 못했다. 반면 초속경 복합매트를 적용하였을 때는 안전율이 1.8, 1.7로 안전율 기준인 1.5 대비 약 1.2배 증가하였다. 성토높이 15m에서 풍화토 조건의 비탈면 안전율을 분석한 결과 초속경 복합매트를 적용하지 않았을 경우 비탈면 기울기 27~40°에서 총 7 case가 기준 안전율을 초과하지 못하였다. 반면 초속경 복합매트를 적용하였을 때 기울기 40°에서 총 2 case가 기준 안전율을 초과하지 못하였다. 한편 풍화암 조건의 비탈면 안전율을 분석한 결과 초속경 복합매트를 적용하지 않았을 경우에 비탈면 기울기 27~40°에서 총 9 case가 기준 안전율을 초과하지 못한 반면 초속경 복합매트를 적용하였을 때 모든 기울기에서 기준 안전율을 초과하였다.
지반조건에 따른 초속경 복합매트를 적용하지 않은 안전율 분석결과 우기 시 풍화암 조건에서 풍화토 조건보다 안전율이 낮게 도출되었다. 이는 비탈면 안정해석에서 비탈면 안전율 도출 시 단위중량이 증가할수록 비탈면 안전율은 감소하며, 포아송비의 경우 절대적이지는 않지만 지반 특성에 따라 포아송비가 높을수록 비탈면 안전율이 증가하기 때문인 것으로 판단된다. Fig. 8, 9, 10은 우기 시 해석 결과를 나타내고 있다.
4.2.3 안전율 증가율 분석 결과
건기 시 안전율 증가율은 풍화토 조건의 경우 비탈면 기울기 21°에서 약 12%, 비탈면 기울기 40°에서 23% 인 것으로 나타났다. 풍화암 조건에서는 비탈면 기울기 21°에서 약 78%, 비탈면 기울기 40°에서 58%로 나타났다. 또한 성토 높이가 증가할수록 안전율 증가율은 감소하였다. 반면 풍화암 조건의 경우 비탈면의 기울기와 성토 높이가 증가할수록 안전율 증가율도 감소하는 경향을 보였다.
한편 우기 시 안전율 증가율은 풍화토 조건의 경우 강우량이 증가함에 따라 최소 14% ~ 최대 18%로 안전율 증가율이 증가하였으며, 비탈면 기울기와 비례하여 증가하는 경향을 보였고 성토노반의 높이가 낮을수록 안전율 증가율도 증가하는 경향을 보였다. 반면 풍화암 조건의 경우 강우량에 따른 안전율 증가율의 차이는 미미하였으며, 비탈면 기울기가 증가할수록 안전율 증가율은 감소하는 경향을 보였다. 또한 풍화토 조건과 유사하게 성토 높이가 감소할수록 안전율 증가율은 증가하는 경향을 보였다.
5. 결 론
본 연구에서는 수치해석을 통해 초속경 복합매트를 적용한 비탈면의 건기 시와 우기 시의 안전율을 분석하였으며, 다양한 변수에 따른 보호효과를 분석한 내용을 다루었다. 본 논문의 결론을 요약하면 다음과 같다.
(1) 초속경 복합매트의 포아송비는 기존에 사용되던 GCCM 대비 약 16% 낮은 것으로 나타났고 탄성계수는 동일하였다. 본 연구에서 도출한 결과는 초속경 복합매트의 물성 설정 및 수치해석의 예제로 활용이 가능할 것으로 판단된다.
(2) 건기 시 모든 조건에서 초속경 복합매트를 적용하였을 때 안전율이 증가하였으며, 이에 초속경 복합매트를 통해 비탈면을 보강할 시 비탈면 유실 및 붕괴를 예방할 수 있을 것으로 사료된다.
(3) 우기 시의 경우도 모든 조건에서 초속경 복합매트를 적용하였을 때 안전율이 증가하였으며, 대부분의 조건에서 초속경 복합매트 미적용 조건 대비 기준 안전율을 초과하였다. 이를 통해 집중호우 및 폭우로 인한 피해를 사전에 방지할 수 있을 것으로 판단된다.
(4) 안전율 증가율의 경우 모든 조건에서 초속경 복합매트를 적용한 결과 평균 40% 증가하였으며, 비탈면의 유실이 우려되는 구간에 보호공법으로 적절할 것으로 판단된다.
(5) 상기와 같은 결론들을 종합한 결과 초속경 복합매트를 철도 비탈면에 적용할 경우 지반조건, 비탈면 기울기, 강우량, 성토 높이 등에 관계없이 비탈면 보호효과를 기대할 수 있을 것으로 판단된다.












