1. 서 론
2. 진도 정보 생산 및 제공
2.1 대한민국 기상청의 예상진도 제공 방법
2.2 일본 기상청의 예상진도 제공 방법
2.3 KMA 방법과 JMA 진도 정보 제공방법의 고찰
3. 국외 지진에 대한 한반도 영향
3.1 한반도에 영향을 준 최근 국외 지진
3.2 기록된 지진동 특성 분석
4. 결 론
1. 서 론
일본 난카이 해곡(Nankai Trough)은 규모 8 이상의 강진이 약 100년 주기로 발생하는 것으로 추정되고 있다(Yasuhiro, 2013). 난카이 해곡은 섭입대로 1707년, 1854년, 그리고 1946년 Mw 8.4의 지진이 발생하였고, 이와 같은 사례는 일본의 100년 주기로 발생하는 대규모 지진 가능성에 대한 근거로 사용되기도 한다. Fukushima et al.(2023)의 연구에 따르면 난카이 해곡에서는 대규모 지진 발생 시 강진이 연속적으로 일어날 것으로 추정하고 있다.
일본의 대규모 지진은 충분히 한반도에 영향을 줄 수 있다. 2024년 4월 17일 일본 오이타현 오이타시 동쪽 74 km 해역 규모 6.4 지진 당시, 한반도에서는 영남권을 중심으로 흔들림을 느낀 유감 신고가 보고된 바가 있다(KMA, 2024). 아직 한반도에서는 국외 원거리 지진으로 보고된 큰 피해는 없지만, 한반도에서 실제로 체감 및 관측된다는 점에 주목해야 한다. 난카이 해곡에서 추정되는 규모 8 수준의 거대 지진은 오이타현 앞바다 규모 6.4 지진에 비해 지진에너지가 약 1,000배 더 클 것이다. 또한 난카이 해곡의 예상 파열대는 일본 남부 해역이기에, 한반도의 영남권에서도 충분히 피해 가능 수준의 진동이 전달될 수 있다.
일본에서 발생한 대규모 지진의 경우, 한반도까지 전달되는 진동은 고유 진동수가 높은 고층 빌딩에 반응할 것이다. 이러한 장주기 흔들림은 고층 건축물이 밀집한 부산 지역에서는 체감할 수 있다. 이는 지진의 전파 과정에서 단주기 성분은 장주기보다 빠르게 감쇠하기 때문이다. 따라서 장주기 성분에 민감한 고층 및 장대 구조물은 원거리 지진에 취약하다(Koketsu & Miyake, 2008).
다만 국외 원거리 대규모 지진 상황에서 한반도의 대응체계는 몇 가지 구조적 한계를 가질 수밖에 없다. 국내의 지진 대비·대응 체계는 지진조기경보 시스템을 기반으로 신속하게 피해를 추정한 후 대응한다. 기상청의 지진조기경보 시스템은 한반도의 고밀도 지진 관측망에 최적화되어 있으며, 지진 발생 시 자동으로 규모, 위치, 그리고 진도를 탐지한다(Heo et al., 2026). 하지만, 국외 발생 지진의 경우 국내 관측이 시작되는 시점 자체가 늦어 리드타임 확보가 제한될 수 있다. 그렇기에 국외 지진자료의 실시간 연계가 원활하지 않으면 지진조기경보 시스템의 자동 대응은 어려운 실정이다. 또한, 한반도에만 최적화된 지반 운동 모델(Ground-Motion Model, GMM)을 사용하기에 예측의 한계점을 내포하고 있다.
따라서 국외 대규모 지진에 대한 지진조기경보 체계의 새로운 접근법이 필요한 실정이다. 이를 위해 본 연구에서는 한반도 인근 국외 대규모 지진의 지진동 전파 특성을 분석하고, 이를 기반으로 국외 지진에 대한 다양한 GMM 적용성을 점검하고자 한다.
2. 진도 정보 생산 및 제공
2.1 대한민국 기상청의 예상진도 제공 방법
대한민국 기상청(KMA)은 지진조기경보(EEW) 시스템으로 진앙과 규모를 추정한 후, GMM을 사용하여 한반도 전체에 예상되는 진도 추정범위를 산출한다. 이를 ‘예상진도’ 혹은 ‘예상진도 지도’라 하며, 규모와 진앙을 기준으로 지도 위에 표출한다. 이 지도는 최대지반가속도(Peak Ground Acceleration, PGA)와 최대지반속도(Peak Ground Velocity, PGV)를 국내에서 기준으로 개정된 GMICE(Ground-Motion Intensity Conversion Equations)를 기준으로 수정 메르칼리 진도 계급(Modified Mercalli Intensity, MMI)으로 표현된다. MMI 값은 12등급의 단계로 피해를 직관적으로 유추할 수 있기에 예상진도는 각 부처에 전달되어 지진에 대한 대비·대응에 활용된다.
MMI를 산출하기 위해서는 예측 PGA와 PGV 값을 추정해야 하며, 이는 GMM을 통해 계산된다. 현재 운영되는 예상진도 서비스는 규모에 따라 다른 GMM 모델을 적용하고 있다(KMA, 2018). 이때 5.0 미만의 지진은 Emolo et al.(2015) 모델(이하 EEA 15)을 사용하며, 이는 한반도의 과거 지진 기록만을 사용하여 개발된 GMM이다. 규모 5.0 이상의 지진이 발생할 경우 적용되는 GMM은 Zhao et al.(2006)의 천부지각(crustal) 모델(이하 ZEA06)을 사용한다.
두 모델로 계산되는 첫 단계 진도 값은 PGA 이며, 이는 기반암 수준에서의 흔들림이다. 두 번째 단계에서는 부지증폭을 적용하기 위해 평균 30 m 전단파속도(Vs30)를 기반으로 한 증폭함수를 추가한다. 이때 반영된 증폭함수는 Borcherdt(1994)의 모델로 Shakemap v3.5(Wald et al., 2005)에 기본 값으로 적용되어 있다. 세 번째 단계에서는 계산된 PGA와 PGV를 기반으로 MMI로 변환하여 지도에 표출한다.
Fig. 1은 2019년 12월 14일 서귀포 해역에서 발생한 규모 4.9의 지진에 대해 발표된 예상진도 정보이다. 이는 KMA의 12등급의 MMI 중 10등급 이상은 흑색으로 통합하여 총 10가지로 표현된 진도 지도이다. 당시 EEW는 서귀포시 서남서쪽 32 km 해역에서 규모 5.3 지진으로 추정하였고, 이를 기반으로 예상진도는 제주지역에 최대진도 Ⅵ으로 경보하였다. 이때 예상진도는 추정된 지진원 정보에 따라 ZEA06 모델과 Borcherdt(1994) 증폭모델을 사용한다.
2.2 일본 기상청의 예상진도 제공 방법
일본 역시 일본 기상청(JMA) EEW를 통해 위치와 규모를 추정한 후 예상진도를 산출한다. 이때 예상진도는 ① 기반암 PGV, ② 부지증폭, ③ PGV-JMA 계급진도 변환하는 절차를 따른다(Iwakiri et al., 2011). 이때 기반암 PGV는 규모, 진원심도와 단층까지 최단거리 함수인 Si & Midorikawa(1999) 감쇠식을 통해 산출한 후 공학적 기반암으로 보정한다. 부지증폭은 1 km 격자의 지형 데이터 기반의 증폭계수(Matsuoka & Midorikawa, 1994)를 활용한다. 부지증폭 후 산출된 PGV는 Midorikawa et al.(1999)의 상관식을 통해 JMA 계급으로 변환된다. JMA의 예상진도 절차는 사용하는 모델에 차이가 있을 뿐 KMA와 동일한 흐름이다.
하지만 지진원 기반의 진도 예측은 단층 및 경로 효과(Path effect) 등을 완벽하게 모사할 수 없다는 한계점을 내포하고 있다. 이에 대한 한계를 극복하기 위해서 JMA는 대상 지역에 지진동이 도달할 때까지 그 정보를 계속 업데이트하는 방법을 개발하였다. 업데이트되는 진도 정보는 실시간 진동 값을 기반으로 하는 PLUM(Propagation of Local Undamped Motion) 방법을 적용하였다(Kodera et al., 2021). 이 기술은 2018년 3월부터 운용되기 시작하였다(Kodera et al., 2020).
PLUM은 지진원 추정을 거치지 않고, 관측망에서 산출되는 실시간 최대 진동 값을 이용하며, 이 크기의 진동이 인접 지역까지 전파된다는 가정 하에 예측 값을 산출한다. 이 방법은 목표 지역의 예측 진도 산출을 위해 반경 약 30 km 내 관측소의 실시간 진동의 최댓값들을 이용한다. 하지만 내륙 얕은 지진의 근거리 급격 감쇠 특성을 반영할 수 없다는 점과 지진 관측소의 밀도가 부족할 시 진도를 과소예측할 수 있다는 한계점을 내포하고 있다. 따라서, PLUM 방법은 지진원 기반의 예측과 융합하여 사용된다.
최근 JMA에서는 최대 진동 값 기반 진도 정보로는 장주기에 크게 흔들리는 고층 건물의 위험을 경보하기 어렵다는 한계를 극복하기 위해 장주기 진도 정보 서비스를 추가하였다. 2023년 2월부터 시행된 장주기 진도 예측 기술 EEW 발표 시 함께 공표되고 있다(JMA, 2023). 단주기 진동은 지진원에서 거리가 멀어질수록 빠르게 감쇠하는 반면 장주기 진동은 원거리까지 전파된다. 이러한 특성을 고려하여 장주기 진도의 예측은 지진원 기반의 감쇠식을 사용한다. Eq. (1)은 장주기 진도 예측 시 사용되는 Dhakal et al.(2015)의 경험식이다.
여기서, 는 주기 T에서의 절대속도응답스펙트럼(cm/s), 는 JMA EEW 규모, 은 진원거리(km)이다. , , 는 각각 주기별 상수항, 규모 회귀계수, 감쇠 회귀계수이고, 는 목표지점의 주기별 증폭함수이다. JMA에서는 구조물의 영향이 큰 1.6-7.8s 대역을 의 대상으로 하였다.
장주기에 대한 진도는 단주기와 다른 등급을 사용하며, Table 1에 정리하였다. Table 1의 등급은 고층 건물에서 체감과 실내 피해 양상을 단계적으로 설명한다. 이는 등급이 올라갈수록 사람의 반응과 가능한 피해수준을 자세하게 보여준다.
Table 1.
Relationship between JMA long-period ground motion class and typical impacts/Damage indicators
2.3 KMA 방법과 JMA 진도 정보 제공방법의 고찰
KMA와 JMA의 예상진도 체계는 단주기와 장주기 예측정보 생산을 기준으로 비교할 수 있다. 우선 단주기 예상진도 체계는 EEW에서 산출된 지진원 정보(예: 위치와 규모)를 기반으로 GMM과 증폭모델을 반영한다는 점이 동일하다. 다만, JMA는 해역 지진 및 대규모 지진이 빈번히 발생하는 특성, 경보 전달의 서비스 방식, 그리고 국민적 이해(예: 오경보에 대한 이해 및 수용) 차이에 따라 더 세분화된 서비스를 제공하고 있다.
KMA가 운용하는 예상진도는 지진원 정보를 기반으로 하며, 초기 추정된 정보에 크게 좌우한다. Fig. 1의 서귀포 해역 지진 사례는 초기 EEW에서 추정된 지진원 정보가 상세 분석과 차이를 보인 경우이다. EEW는 초기 적은 수의 기록 정보만을 사용하기에 높은 정확도가 보장되지 않는다. 이에 따라 재난문자 시 발표된 최대진도는 Ⅵ이고, 상세 분석을 통해 보고된 최대진도는 Ⅴ로 한 등급 차이가 발생하였다.
이와 같은 지진원 기반의 예상진도 정보 생산의 한계를 보완하기 위해 JMA에서 운용하는 PLUM 방법의 도입을 검토하면 다음과 같은 한계점을 지닌다: (1) 내륙 얕은 지진에서 급격한 진동 전파 감쇠특성을 고려하지 못하기에 진원 인근에서 예상진도를 더 과대 예측할 수 있다; (2) CBS(Cell Broadcast Service) 중심의 재난문자 서비스는 일정 시간 이내 추가 메시지 발송은 기지국 과부하 문제로 쉽지 않은 실정이다. 결국 KMA의 예상진도 체계는 지진원 기반의 체계가 JMA의 하이브리드(설명: 지진원 기반과 PLUM의 융합) 보다 실효적일 것이다. 따라서 KMA는 지진원 기반의 예상진도 체계의 정확도 향상이 중요하다.
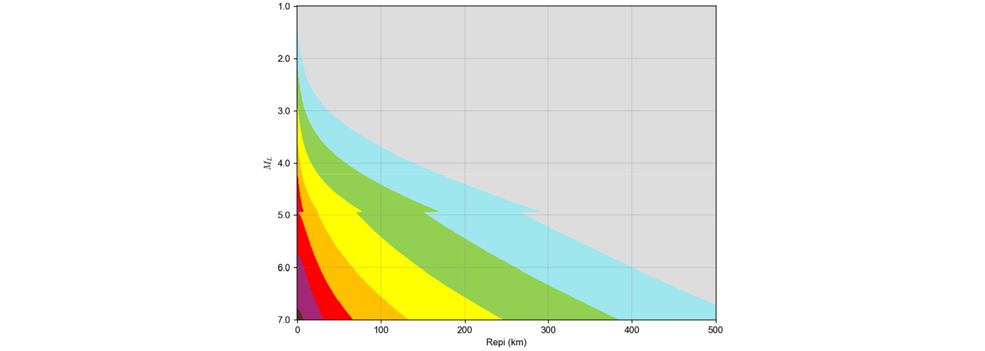
하지만 현재 운용 중인 두 모델은 2가지 한계점을 내포하고 있다. 첫 번째는 서로 다른 두 모델을 적용하다 보니 규모 5를 기준으로 불연속이 존재한다. Fig. 2는 기반암(Vs30 = 760 ㎧) 수준에서 흔들림이 규모와 이격거리에 따라 어떻게 변화하는지 나타냈다. 규모 5를 기준으로 EEA15보다 ZEA06이 더 진도 값이 낮게 산출되므로 이와 같은 불연속성이 나타났으며, 결국 이는 규모 5.1의 기반암 수준의 운동이 규모 4.9보다 작게 계산될 수 있음을 보여준다.
추가로 ZEA06은 PGV 모델을 기본적으로 제공하지 않고 있다. 이를 보완하기 위해 시스템에서 Newmark & Hall(1982)의 변환식을 적용하여 PGV를 추정하고 있다. 변환식은 아래와 같다:
여기서, SA(1/f)는 주기(=1/f)에 따른 가속도이고, f는 우세 주파수이다. 이때 PGV 추정 시 SA(1.0)를 사용한다. 이는 PGV가 SA(1)일 때 상관성이 높다는 Newmark & Hall(1982)의 주장에 의거한 것이다. 하지만 Bommer & Alarcon(2006)에 따르면 SA(1.0)이 모든 경우에 적용되는 것은 아니다. Fig. 3은 2000년부터 2023년까지의 국내 지표면 관측기록을 기반으로 주기별 가속도와 PGV의 상관성을 도시하였다. 국내의 경우 단주기 대역인 SA(0.2)가 더 높은 PGV 상관성을 가지는 것으로 나타났다.
장주기 예상진도 정보 생산의 경우 JMA만 운영하는 체계이다. 이는 2011 동일본 대지진(혹은 2011 Tohoku earthquake) 당시 오사카시는 고층 빌딩에서 예상진도 등급보다 큰 피해가 보고 되었다는 문제점을 해결하기 위해 개발되었다(JMA, 2023). 장주기 진동은 저주파수 대역(f = 0.1~1 Hz)으로 대규모 지진의 먼거리에서 다수의 피해가 보고된 바 있다(Oh & Kim, 2020).
반면, 한반도에서 발생한 지진은 기록상 중규모 이하(<M 6)이고, 얕은 내륙지진으로 지진동은 지속시간이 짧은 사례가 우세적이다. 이에 아직까지 장주기 진동에 대한 피해사례를 찾기 어려운 실정이다. 그렇다고 한반도에 장주기 지진동의 피해가 전무할 것이라 예측할 수 없다. 동일본 대지진 당시 한반도에서도 장주기 성분을 포함한 동적 변위가 관측된 사례가 있다(Hong et al., 2021). 따라서, 일본에서 발생한 대규모 지진은 초고층 빌딩이 존재하는 도시나 연약층을 내포한 산업지역에 영향을 줄 수 있다.
이를 종합하면, KMA의 예상진도 서비스는 모델의 보완이 필요하지만 한반도 지진발생 특성을 고려하여 단주기 중심 정보를 제공하고 있다. 장주기 예상진도의 경우 아직 서비스 하지 않지만 (ⅰ) 한반도의 초고층 건축물, 장대교량의 증가 추세; (ⅱ) 일본의 대규모 지진 가능성을 고려한다면 장주기 지진동에 대한 경보 기술이 필요한 실정이다.
3. 국외 지진에 대한 한반도 영향
3.1 한반도에 영향을 준 최근 국외 지진
동일본 대지진 이외에도 한반도에서 영향을 준 국외지진은 다수 존재한다. Table 2는 2014년 이후 국외지진 중 국내에 체감진도 신고가 접수되었던 지진의 목록을 정리하였다.
Table 2.
List of overseas earthquakes affecting the Korean Peninsula
진원지 및 부산시청(청색 삼각형)을 기준으로 진앙이격 거리를 Fig. 4에 도시하였다. 체감진도 신고는 대부분 일본에서 발생한 지진이며, 경남지역에서 다수 접수되었다.
앞서 언급된 5개의 지진 중 규모가 가장 컸던 2016년 Kumamoto 지진과 최근에 발생한 2024년 Miyazaki 지진에 대하여 분석하였다. Fig. 5에는 두 지진의 진앙과 단층의 파열방향을 관측망과 함께 도시하였다. 이때 KMA와 JMA 관측망의 공간 분포와 지진원의 위치를 고려하면 동일한 이격거리를 기준으로 비교가 가능한 관측소가 존재하는 것으로 확인된다.
추가로 두 관측소의 정밀한 비교를 위해 단층의 영향도 함께 고려하였다. Fig. 5의 검은 실선은 해당 지진의 단층 주향(파열 방향)을, 점선은 그에 수직인 방향을 표시한 것이다. 이를 통해 방위 의존성(예: 방사패턴 및 directivity에 따른 진동 분포)을 함께 검토하고자 하였다. 다만, 두 지진 이벤트 모두 비슷한 이격거리에 분포한 관측소는 존재하나 단층의 움직임을 기점으로 상반되는 영향을 받고 있는 것으로 나타났다.
3.2 기록된 지진동 특성 분석
Fig. 6은 2016년 Kumamoto 및 2024년 Miyazaki 지진에 대해 1초와 2초 주기의 감쇠특성을 비교하였다. 이 자료는 Fig. 5에 제시된 상자(Box) 영역에 위치한 KMA와 JMA의 지진 관측소 기록을 통해 산출되었다. Fig. 6에는 검정 실선이 있는데, 이는 JMA에 준용한 Dhakal et al.(2015)의 감쇠식이다. Sva(1.0)과 Sva(2.0)의 진폭을 거리 감쇠 함수로 비교한 결과로, 두 사건 모두에서 JMA의 관측 기록이 KMA 관측 값보다 크게 나타났다.
Sva(T)로 분포를 통해 장주기 성분이 한반도 방향으로 전달될 때 진폭이 더 작을 것으로 나타났으며, 이는 Dhakal et al.(2015)의 감쇠식을 통한 진도 예측은 과대 추정될 수 있음을 시사한다. 다만, 이와 같은 차이는 단순히 위치만의 차이는 아닐 수 있다. 동일 진원이라도 한반도 관측점은 대부분 해역을 횡단하는 경로 및 다른 방위를 가지고 있다는 점에 주목해야 한다. 따라서, 방사패턴, directivity, 경로 감쇠(Q-factor), 그리고 지각 구조 차이가 장주기 성분에 다르게 작용할 수 있다.
Fig. 7은 2016년 Kumamoto 지진에 대한 KMA 지진 관측소(TOY, ADO2)의 기록 파형을 도시하였으며, 3성분(EW, NS, UD) 가속도 파형을 나타냈다. TOY의 기록정보는 수 초–수십 초 수준의 상대적으로 단주기 성분이 포함된 강한 흔들림이 뚜렷하게 나타났다. 반면 TOY보다 멀리 있는 ADO2 에서는 고주파수 진동이 상대적으로 약화된 대신 에너지가 더 긴 시간에 걸쳐 분산되어 나타난다.
ADO2 파형은 주된 강진동 이후에도 감쇠가 완만하게 지속되며, 후반부에 장주기 성분(저주파) 지배적인 진동이 비교적 길게 유지되는 양상을 보인다. 이는 원거리 전파 과정에서의 주파수 선택적 감쇠(Q 감쇠)와 산란 효과로 인해 단주기 성분이 빠르게 약화되고, 상대적으로 감쇠가 작은 장주기 성분과 표면파/후속 위상이 두드러지기 때문으로 해석된다.
Fig. 8의 스펙트럴 가속도는 거리 증가에 따른 우세주파수의 변화를 가시적으로 보여준다. 두 관측소를 대표 관측소로 지정하는 것은 무리가 있지만, TOY에 비해 ADO2에서는 고주파 대역(단주기 영역)의 응답 가속도가 전반적으로 감소하는 것으로 나타났다. 반면, 1초 주기 이상의 장주기 구간에서 상대적으로 높은 응답 가속도가 유지되고 있다. 이를 기반으로 우세주기는 거리가 멀어질수록 장주기 쪽으로 이동한다는 점을 관찰할 수 있다.
ADO2 기록은 원거리 전파 및 경로 감쇠의 영향으로 단주기 에너지가 크게 줄어들고, 장주기 성분이 상대적으로 우세해지는 전형적인 원거리 지진동 특성을 나타낸다. 또한 수평성분(EW/NS)이 연직성분(UD)보다 크게 나타나는 경향은 일반적인 지진동의 방사 특성과 부지/경로 효과로 추정된다.
4. 결 론
본 연구는 한국과 일본의 예상진도 생산정보 체계를 분석 비교하였다. 본 연구를 통해 얻어진 결과는 다음과 같다.
(1) KMA와 JMA는 EEW으로 생산된 규모와 진원위치를 기반으로 예상진도를 산출한다. 단주기에 대한 예상진도 생산 프레임 워크는 동일하였으나, JMA는 대규모 지진 및 단층영향을 고려하기 위해 실시간 예상진도의 갱신법을 추가하였다. 이 방법은 반경 약 30 km 범위의 감쇠가 없다는 단순 가정을 기반으로 하기에, 얕은 내륙지진의 근거리 급격 감쇠를 반영하기 어려운 한반도에 적용성은 높지 않은 것으로 사료된다. 또한 CBS 중심의 재난문자 서비스에서는 실시간 갱신에 제약이 있다.
(2) KMA 예상진도 체계는 GMM과 부지증폭을 통해 PGA와 PGV를 추정한 MMI 등급으로 변환한다. 이때 ① 규모 5를 경계로 서로 다른 GMM을 적용함에 따른 불연속성과, ② ZEA06의 PGV 미제공으로 인해 SA 기반 변환을 통한 최댓값 추정에 최적 주기 선정에 대한 충분한 재검토가 필요한 것으로 나타났다. 특히 규모 5를 기준으로 ZEA06이 EEA15보다 낮은 값을 산출하여, 특정 조건에서는 규모 5.1이 4.95보다 작게 계산될 수 있다는 점에 반드시 주의가 필요하다.
(3) 한반도에서 발생한 지진은 중규모 이하(<M6)로 얕은 내륙지진이 대부분이다. 또한 대부분의 한반도 지진은 지속시간이 짧으며, 단주기 성분이 우세하다. 이에 그 동안 장주기 진동에 대한 분석이 제한적이었다. 하지만 일본에서 발생한 대규모 지진은 한반도에 전파될 수 있는 것으로 확인되었다. 이때 이격거리에 따른 감쇠가 약한 장주기 성분이 포함된 진동이 도달할 수 있다. 따라서, 일본과 가까운 한반도 지역은 장주기 진동에 대비할 필요가 있다.
(4) 동일한 이격거리 영역에서 일본과 한반도의 장주기 성분의 진폭 크기를 비교한 결과, 한반도에 도달한 진도가 일본보다 낮은 것으로 나타났다. 이는 JMA 기준 장주기 감쇠식(Dhakal et al., 2015)을 한반도에 개선없이 적용할 경우 장주기 진도를 과대 예측할 수 있음을 시사한다.
(5) 일본에서 전달될 수 있는 장주기 진동에 대한 대비를 위해 한반도에 최적화된 장주기 모델이 필요하다. 이때 방사패턴, directivity, 경로 감쇠, 그리고 지각 구조 차이 등을 면밀히 분석한다면, 논리적으로 타당한 경험식을 개발할 수 있을 것으로 사료된다.
(6) 본 연구는 2016년 Kumamoto 지진과 2024년 Miyazaki 지진 등 2개 국외 대규모 지진 사례를 중심으로 장주기 지진동의 관측 특성을 검토하였다. 따라서 본 결과는 사례 연구로서의 의의는 있으나, 제한적인 사례로 향후 다양한 국외 대규모 지진 사례를 확장할 필요가 있다. 지진 사례가 추가된다면 한반도 장주기 예측모델 개발이 가능할 것으로 사료된다.










