1. 서 론
2. 모델 검증에 활용한 원심모형시험
2.1 Wilson(1998) 원심모형시험 데이터
2.2 Choi et al.(2015) 원심모형시험 데이터
3. 수치해석모델
3.1 동적해석
3.2 유사정적해석
4. 수치해석 모델 검증
5. 유사정적 및 동적해석 결과 비교
6. 결 론
1. 서 론
말뚝기초는 연직 및 수평 하중이 동시에 작용하는 구조물을 지지하기 위해 널리 사용된다. 이때 지반-말뚝 시스템의 횡방향 응답은 말뚝기초 설계에서 중요한 검토 항목이다. 단일 말뚝의 횡방향 응답을 예측하기 위한 여러 정립된 방법이 있으며, Poulos & Davis(1980)의 탄성해, Ashour et al.(1998)의 strain wedge 방법, beam-on-nonlinear-Winkler-foundation(BNWF) 방법(Matlock & Foo, 1978; Nogami et al., 1992; El Naggar & Novak, 1995; Badoni & Makris, 1996; El Naggar & Novak, 1996; Boulanger et al., 1999; Gerolymos & Gazetas, 2005; Gerolymos et al., 2009; Adeel et al., 2022), 연속체 해석(Muqtadir & Desai, 1986; Brown & Shie, 1990; Trochanis et al., 1991; Yang & Jeremic, 2002; Adeel et al., 2022; Cao et al., 2023) 등이 대표적이다.
BNWF 방법은 말뚝의 횡방향 응답을 해석하는 데 가장 널리 사용되고 있다. 이 방법은 p-y 곡선을 이용하여 지반과 말뚝 사이의 복잡한 상호작용을 단순화하며, 여기서 p는 지반 반력, y는 말뚝의 수평 변위를 의미한다. BNWF 방법은 구현이 비교적 간단하므로 말뚝기초의 내진설계에 널리 적용된다. 유사정적(pseudo-static) 해석은 BNWF 접근을 기반으로 하며, 정적 또는 반복하중 조건에서 수행된 현장 말뚝 재하시험(Matlock, 1970; Cox et al., 1974; Reese et al., 1974; Murchison & O’Neill, 1984; Georgiadis et al., 1992; Ashour & Norris, 2000; Janoyan et al., 2001)과 실내시험(Yang et al., 2011; Yoo et al., 2013; Choi et al., 2015)을 토대로 다양한 지반 조건에 대해 제안된 p-y 곡선을 활용한다.
지진 시 지반-말뚝 상호작용 해석을 위해 다양한 BNWF 기반 모델이 제안되어 왔으나, BNWF 방법을 이용한 유사정적 해석에는 본질적인 한계가 존재한다. 정적 또는 반복 재하로부터 도출된 p-y 곡선은 지진하중에 의해 유발되는 지반 변형과 지반-말뚝 상호작용을 충분히 반영하지 못하므로 내진설계에 그대로 적용하기 어렵다(Rovithis et al., 2009; Thavaraj et al., 2010). 또한 BNWF 기반 유사정적 모형은 관성 상호작용만 고려하고, 운동학적 상호작용 및 지반-말뚝 경계면에서의 축방향 및 횡방향 응답의 상호작용이 고려되지 않는다.
최근의 동적 BNWF 모형은 고려해야 할 요소가 많아 실무 설계에 적용하기가 쉽지 않다. American Petroleum Institute(API)는 비선형 p-y 곡선(이하 API 곡선)을 구성하기 위한 간단한 지침을 제시하며, 실무에서 널리 사용된다(API, 2007). 그러나 다수의 선행연구(Matlock & Foo, 1978; Murchison & O’Neill, 1984; Georgiadis et al., 1992; Ashour & Norris, 2000; Janoyan et al., 2001; Rahmani et al., 2018; Alver & Eseller-Bayat, 2023; Zhang et al., 2023; Wu et al., 2024)에서는 이러한 일반화된 곡선을 사용할 경우 횡방향 응답 예측에 상당한 오차가 발생할 수 있음을 지적하였다.
Wilson(1998)과 Yoo et al.(2013)의 연구에 따르면, API 곡선을 이용한 유사정적 내진설계는 과도하게 보수적인 설계로 이어질 수 있다. 그럼에도 API 곡선은 적용이 간단하다는 이유로 널리 사용되며, 결과적으로 정적 및 반복 재하 조건에서 개발된 p-y 곡선이 여전히 빈번히 활용되고 있다.
본 연구에서는 이러한 한계를 보완하기 위해 지진하중을 받는 말뚝기초에 대해 3차원(3D) 유한요소(finite element, FE) 모형을 이용한 유사정적 해석을 수행하였다. 또한 3D FE 모형을 검증하기 위해 휨모멘트, p-y 곡선, p-y 이력루프(hysteresis loop)를 원심모형시험 계측값과 비교하였다. 또한, 동적해석에서 얻은 p-y 곡선을 API 곡선을 사용한 유사정적해석 결과와 비교하여 두 접근법의 차이를 분석하였다.
2. 모델 검증에 활용한 원심모형시험
2.1 Wilson(1998) 원심모형시험 데이터
Wilson(1998)이 수행한 포화 연약점토층 상부에 포화된 조밀한 모래층이 존재하는 지반에서의 단일 말뚝 원심모형시험을 3차원 비선형 FE 모형의 검증에 활용하였다. 본 연구에서는 Wilson(1998)의 Test Csp5 event B를 대상으로 하였으며, 상세 내용은 Table 1에 정리하였다. 입력지진파로는 1989년 Loma Prieta 지진(규모 6.9) 당시 기록된 Santa Cruz 지진파를 사용하였다(Fig. 1). 최대지반가속도(peak ground acceleration, PGA)가 0.14 g인 가속도 시간이력을 원심모형시험의 연성토조(laminar container) 하부와 수치해석 모형의 하부경계에 동일하게 적용되었다.
Table 1.
Summary of centrifuge test conducted by Wilson (1998)
| Test # | Test type | Pile type in prototype | Pile diameter in prototype | Soil type |
| Csp5 event B | Dynamic centrifuge | Steel pipe | 67 cm | Saturated clay and sand |
Fig. 2는 원심모형시험의 배치를 나타낸다. 프로토타입 기준으로 점토층과 모래층의 두께는 각각 6 m와 5 m이다. Torvane 시험으로 산정된 점토의 비배수 전단강도는 Rahmani(2014)의 값을 사용하였으며, Table 2에 제시하였다. 점토의 유효 단위중량은 약 7.75 kN/m3이다. 하부 Nevada 모래층의 상대밀도(relative density, Dr)는 80 %, 유효 단위중량은 9.81 kN/m3, 마찰각은 39.5°를 사용하였다. Borja & Amies(1994)가 제안한 비선형 지반 구성 모델은 ABAQUS의 UMAT으로 구현하였으며, 수치해석에 사용한 지반 물성치는 Table 2에 정리하였다.
Table 2.
Soil properties for validation against Wilson (1998)
단일 말뚝은 프로토타입 기준 직경 67 cm, 두께 1.9 cm의 강관말뚝으로 모델링하였다. 말뚝은 지표면 상부로 3.81 m 노출되어 있으며, 말뚝의 근입깊이는 16.5 m이다. 말뚝 두부에는 480 kN의 상부구조 하중이 작용한다. 원심모형시험 토조의 내부 치수는 프로토타입 기준 길이 51.6 m, 폭 20.55 m, 깊이 21 m였다. 원심모형시험은 30 g의 원심가속도 조건에서 지반-말뚝-상부구조 시스템에 대해 수행되었다.
2.2 Choi et al.(2015) 원심모형시험 데이터
Choi et al.(2015)는 Korea Construction Engineering Development(KOCED) Collaboratory Program의 Geo-Centrifuge Center에서 단일 말뚝에 대한 동적 원심모형시험을 수행하였다. Choi et al.(2015)에 보고된 모든 시험은 40g의 원심가속도 조건에서 수행되었다.
Fig. 3은 단일 말뚝 및 계측 장치의 개략도를 나타낸다. 모형 토조는 등가 전단보(equivalent shear beam, ESB) 토조를 사용하였다. 프로토타입 말뚝의 외경은 100 cm, 두께는 1.2 cm이며, 말뚝두부에는 64 ton의 상부구조 질량이 부착되었다. 말뚝의 근입깊이는 22.8 m이고 지표면 상부로 5.7 m 노출된다. 이러한 치수는 수치해석에 동일하게 적용하였다.

Fig. 3
Schematic of centrifuge model test setup with instrumentation at model scale (Choi et al., 2015)
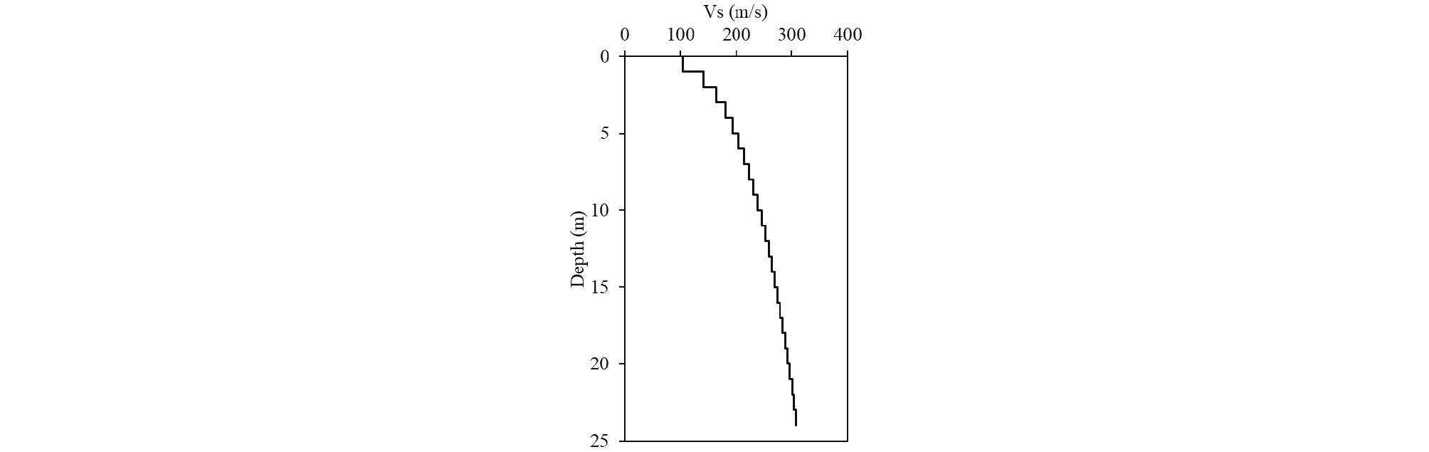
원심모형시험에 사용된 토사는 통일분류법(Unified Soil Classification System, USCS)으로 분류되는 주문진사로, 세립질의 균등한 사질토이다. Dr은 80 %이고 단위중량은 15.8 kN/m3이다. 최대 내부마찰각은 40°로 측정되었으며, 전단파속도(shear wave velocity, VS)는 벤더엘리먼트(bender element) 계측값으로부터 산정하였다. VS는 대기압(atmospheric pressure, Pa)로 정규화한 유효연직응력 (σ′v)의 함수로서 Eq. (1)로 표현되며, VS 주상도는 Fig. 4에 도시하였다.
사인파(sinusoidal wave)는 진폭과 주파수 조절이 용이하므로 토조 하부에 입력 운동으로 가진하였다. 수치해석에서는 입력 운동의 PGA를 0.05 g에서 0.3 g까지 변화시켰으며, 주파수는 1.5 Hz로 설정하였다. 수치해석모델 검증에 사용한 입력 운동을 Fig. 5에 도시하였다.
3. 수치해석모델
3.1 동적해석
Wilson(1998) 및 Choi et al.(2015)의 원심모형시험에서 관측된 동적 지반-말뚝 상호작용을 모사하기 위해 FE 해석 프로그램인 ABAQUS V. 6.14(SIMULIA, 2014)를 사용하여 3D FE 모델을 구축하였다(Fig. 6). 원심모형시험 계측값과 3D FE 모델을 사용하여 동적해석을 수행한 결과를 비교하여 검증하였다.
해석영역의 크기는 경계조건이 해석 결과에 영향을 주지 않도록 민감도 해석을 통해 결정하였다. Wilson(1998)의 원심모형시험을 모사한 모델의 치수는 길이 54.2 m, 폭 20.2 m, 깊이 17 m이며, Choi et al.(2015) 원심모형시험 모델의 치수는 길이 54 m, 폭 20 m, 깊이 24 m이다. 두 모델에서 말뚝과 지반은 8절점 벽돌요소(C3D8)로 모델링하였다.
말뚝과 지반의 경계면은 sliding과 gapping을 모두 허용하는 surface-to-surface contact 요소로 구현하였다. 접선 방향 미끄럼 거동은 Coulomb 마찰모형으로 모사하였다. 사질토의 마찰계수는 Park et al.(2016)의 연구에서 사용된 값인 tan(2/3φsoil)를 사용하였다. 점토층은 Sladen(1992)이 제안한 식을 기반으로 마찰계수를 1.0으로 가정하였다. 해석영역의 하부는 연직 방향으로 구속하였다.
말뚝은 원심모형시험에서 사용된 외경과 동일한 치수를 갖는 solid rod로 모델링하였다. 말뚝 단면 형상이 다른 점을 고려하기 위해, 실제 강관말뚝의 휨강성(flexural rigidity)과 일치하도록 말뚝 요소의 탄성계수를 조정하였다. 수치해석에 사용한 말뚝의 물성은 Table 3에 정리하였다.
Table 3.
Pile properties of centrifuge tests
| Pile properties | Wilson (1998) | Choi et al. (2015) |
| Pile type | Steel | Steel |
| Outer diameter (m) | 0.67 | 1 |
| Thickness (m) | 0.019 | 0.012 |
| Moment of inertia (m4) | 0.009892 | 0.04908 |
| Equivalent modulus of elasticity (GPa) | 41.65 | 19.45 |
상부구조 질량은 ABAQUS의 “point mass inertia” 옵션을 이용하여 말뚝 두부에 집중질량으로 부여하였다. 이를 위해 기준점(reference point)을 생성한 후 Interaction 모듈에서 말뚝두부와 연결하였다. Fig. 6과 같이, 측면 경계에는 ABAQUS의 Multi-Point Constraint (MPC) 명령을 이용하여 등자유도(equal degree-of-freedom, EDOF) 조건을 적용하였다. MPC PIN 구속을 사용하여 측면 경계의 모든 절점을 하나의 단위로 묶어 지진 시 양 측면이 동일하게 거동하도록 하였다. 하부경계조건은 rigid bedrock 조건으로 가정하였으며, 입력지진파는 모델 하부에 수평방향으로 적용하였다.
지반의 비선형 거동을 모사하기 위해 Borja & Amies(1994)가 제안한 bounding surface plasticity 모형을 사용하였다. 비선형 모형의 보정을 위해 Darendeli(2001)의 전단탄성계수 저감 곡선을 기준 곡선으로 사용하였고, Eq. (2)와 같이 표현된다.
여기서, G/Gmax는 최대 전단탄성계수에 대해 정규화한 할선 전단탄성계수, γ는 전단변형률, τ는 전단응력, R은 bounding surface의 반경, h와 m은 지수형(exponential) 경화함수의 계수 및 지수, H0는 운동학적(kinematic) 경화 매개변수이다. Eq. (2)를 사용하여 지반 매개변수를 보정하였다. Zhang et al.(2017)는 소성모형을 ABAQUS에서 UMAT 서브루틴으로 구현하였으며, 자동 입력 매개변수 선택을 위한 코드도 함께 개발하였다. 본 연구에서는 UMAT 서브루틴과 입력 매개변수 선택 코드를 모두 사용하였다.
동적해석에서 Rayleigh 감쇠를 적용하기 위해 각주파수(ω)와 미소변형 감쇠비(ξ)가 필요하다. Borja & Amies(1994)의 비선형 지반 구성 모델은 강성비례 감쇠만을 고려하며, 이는 Eq. (3)과 같이 정의된다.
여기서, ξ는 미소변형 감쇠비이며, ωi와 ωj는 각각 i차 및 j차 모드의 각주파수이다. 본 해석에서는 1차 및 3차 모드의 주파수를 사용하여 각주파수를 계산하고 이를 해석에 적용하였다. 미소변형 감쇠비는 Darendeli(2001)가 제안한 함수로부터 산정하였다.
3.2 유사정적해석
본 연구에서는 유사정적해석의 응답을 원심모형시험 및 3D FE 해석 결과와 비교하였다. API 곡선을 사용하여 BNWF 기반의 유사정적해석 모델은 말뚝 설계 프로그램 LPILE (Reese et al., 2016)을 사용하였으며, 동적 하중을 등가 관성하중으로 변환하여 적용한다. 이 단순화된 방법에서 말뚝은 보(beam)로, 지반은 API 곡선으로 정의된 스프링으로 모델링한다(Fig. 7). 횡방향 관성하중은 말뚝두부에 작용시키며, 운동학적 상호작용은 고려하지 않는다.
4. 수치해석 모델 검증
본 절에서는 3D FE 모델의 검증을 위해 수치해석 결과를 원심모형시험 결과와 비교하였다. 결과 비교는 (1) 자유장 지표면에서의 가속도 응답스펙트럼, (2) 말뚝 두부에서의 가속도 응답스펙트럼, (3) 말뚝두부 변위가 최대가 되는 시점에서의 휨모멘트 분포에 대해 수행하였다.
Figs. 8과 9는 Wilson(1998)의 원심모형시험 계측값과 3D FE 동적해석 결과를 비교한 것이다. Fig. 8은 자유장 지표면과 말뚝 두부에서의 가속도 응답스펙트럼을 도시하였으며, 3D FE 모델이 지반-말뚝 거동의 주기특성을 유사하게 재현함을 나타낸다. Fig. 9는 말뚝두부 변위가 최대인 시점의 휨모멘트 분포를 비교한 것으로, 분포 형상과 지배적인 휨 요구가 발생하는 심도 범위에서 전반적으로 일치하는 경향을 보였다. 다만 사층-점토층 전이부 인근인 약 8 m 심도에서는 국부적인 편차가 관찰되는데, 이는 강성 대비 및 감쇠 수준(Zhang et al., 2017)에 휨응답이 민감하기 때문일 수 있다. 또한 Wilson(1998)은 휨모멘트 구배가 크거나 계측 간격이 충분하지 않을 경우, 이산적인 변형률 게이지 측정만으로 휨모멘트 분포를 유일하게 정의하기 어려울 수 있음을 언급하였으며, 이는 추정 분포의 국부적 산포에 기여할 수 있다. 종합하면, 이러한 비교 결과는 후속 해석을 위한 3D FE 모형의 타당성을 뒷받침한다.
Choi et al.(2015)의 원심모형시험 결과를 3D FE 해석 결과와 비교하였다. p-y 루프 및 다양한 PGA 값에서의 휨모멘트 관점에 대해 비교하였다. Fig. 10은 깊이 0.5 m 심도에서 PGA값이 0.05 g, 0.15 g, 0.3 g인 경우의 동적 p-y 루프를 비교한 결과다. 여기서 p는 휨모멘트의 2차 미분으로부터 산정된다. 한편, 동적해석에서 y는 말뚝과 주변 지반 사이의 상대변위를 의미하므로, 횡방향 지반변위(ysoil)는 자유장 변위로부터 구한 후 말뚝 변위(ypile)로부터의 차이(ypile – ysoil)로 계산하였다. p-y 루프 형상에는 두 결과가 차이를 보이지만, 3D FE 모형은 계측값 대비 최대 지반 반력을 합리적으로 예측하였다.
p-y 이력루프는 적용한 감쇠식의 영향을 받는다. UMAT 기반 구현에서는 Darendeli(2001)를 기반으로 DEEPSOIL에서 추정한 미소변형 감쇠비에 의해 강성비례 점성감쇠가 지배되는데, 조밀한 모래층은 매우 작은 변형률에서 감쇠비가 상대적으로 작을 수 있다. 이는 Fig. 10에서 해석 루프가 상대적으로 얇게 나타난 원인 중 하나일 수 있다. Zhang et al.(2017)은 미소변형 감쇠비를 증가시키면 루프 폭과 에너지 소산이 증가하되, 유효 할선강성에는 제한적인 영향을 미친다고 보고하였다. 그럼에도 본 연구에서는 응답스펙트럼 및 휨모멘트 분포가 전반적으로 잘 일치하여, 후속 해석에 대한 3D FE 모델의 적용성을 확인하였다.
Fig. 11은 휨모멘트 결과에 대해 원심모형시험 계측값과 3D FE 해석 결과를 비교하였다. 서로 다른 세 개의 PGA에서 비교한 결과, 3D FE 모델의 최대 휨모멘트가 원심모형시험 계측값과 근접하게 일치하였으며, 따라서 3D FE 모델이 지반-말뚝의 지진응답 예측에 유효함을 확인하였다.
5. 유사정적 및 동적해석 결과 비교
본 절에서는 기존 실무에서 사용되는 BNWF 기반의 유사정적해석 모델을 평가하기 위해 API 곡선을 사용하여 수치해석을 수행하였다. Choi et al.(2015)의 원심모형시험을 대상으로, 유사정적 해석 결과를 원심모형시험 계측값 및 3D FE 동적해석 결과와 함께 비교하였다.
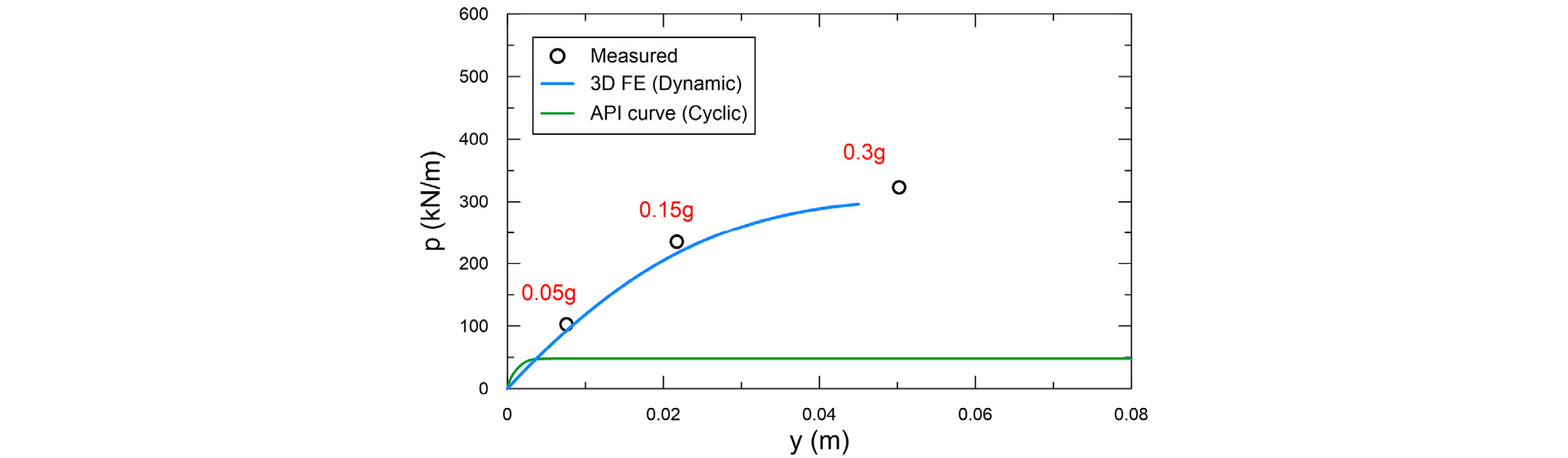
p-y 이력루프의 최대점들을 연결하여 구성한 p-y 곡선을 Fig. 12에 도시하였다. p-y 이력루프의 형상은 계측값과 차이를 보이나, 지반 반력의 최대점은 전반적으로 잘 일치하는 것으로 나타났다. 수치해석으로 얻은 p-y 루프는 역 S자 형태를 나타내며, 이는 Boulanger et al.(1999)의 결과와 일치한다. Boulanger et al.(1999)에 따르면, 모델에 gap 성분을 포함하면 말뚝과 주변 지반의 물리적 분리를 반영하여 역 S자 p-y 이력루프를 모사할 수 있다. 본 연구에서는 지반-말뚝 경계면에서의 gap 형성을 contact interaction으로 고려하여 두께가 0인 인터페이스를 통해 수직 및 전단응력을 전달하도록 모델링하였다. 최대점이 계측값과 근접하게 일치하므로, 3D FE 모형이 말뚝의 지진응답을 효과적으로 모사하는 것으로 판단할 수 있다.
일관성을 위해 API 곡선은 원심모형시험에서 보고된 조밀한 모래층의 매개변수(Dr = 80 %, φ ≈ 40°)를 사용하여 산정하였다. 동일 심도에서 API 곡선은 비선형 구간의 지반 반력을 과소예측하는 것으로 나타났다. 본 연구에서 고려한 변위 수준에서 API가 예측한 p는 3D FE 모델로부터 계산된 값보다 약 6배 작게 나타났다. 이러한 과소예측은 지진 시 말뚝의 거동에 대해 과도하게 보수적인 예측으로 이어질 수 있다. Adeel et al.(2022)에 따르면, FE 모델로부터 도출된 정적 p-y 곡선은 얕은 깊이(약 0.5D ~ 1D)에서 API 곡선 대비 초기강성을 과대평가하지 않는 것으로 보고되었으며, 본 연구에서 고려한 심도(0.5D)도 이에 포함된다. 그러나 granular soil에서는 변위가 증가할수록 지반 반력이 점진적으로 발현되면서 계속 증가하는 경향이 있다. 따라서 더 깊은 심도 또는 변위가 큰 구간에서는 지반 반력이 더 크게 발휘되어, 적용하는 p-y 곡선에 따라 응답 차이가 더욱 크게 나타날 수 있다. 본 연구에서 나타난 차이는 API 곡선이 주로 말뚝 두부에서의 정적 또는 반복 재하시험 결과를 기반으로 개발되었고 지진하중 조건에서 나타나는 운동학적 상호작용 효과를 직접적으로 반영하지 않기 때문에 발생할 수 있다.
Fig. 13은 API 곡선을 사용한 유사정적해석 및 3D FE 수치해석으로부터 얻은 최대 휨모멘트 분포를 원심모형시험 계측값과 비교한 결과이다. API 곡선을 사용할 경우 휨모멘트에 큰 차이가 발생하며, 0.15 g와 0.3 g 조건에서 오차의 최대값이 각각 45 %와 70 %로 나타났다.
6. 결 론
본 연구에서는 지진하중을 받는 말뚝기초에 대해 3D 비선형 FE 해석을 수행하였다. 수치해석 모델을 검증하기 위해 Wilson(1998) 및 Choi et al.(2015)의 원심모형시험 결과와 비교하였다. Wilson(1998) 원심모형시험은 연약점토층과 조밀한 모래층으로 구성된 지반을 포함하며, Choi et al.(2015) 원심모형시험은 마찰각 40°의 조밀한 모래층을 사용하였다. 원심모형시험과의 비교를 통해 본 연구에서 사용한 3D FE 모형이 말뚝 응답을 효과적으로 모사할 수 있음을 확인하였다.
Wilson(1998) 원심모형시험에 적용된 입력파는 PGA가 0.14 g인 계측지진인 반면 Choi et al.(2015) 원심모형시험에서는 PGA가 0.05 g, 0.15 g, 0.3 g인 사인파를 사용하였고, 주파수는 1.5 Hz로 설정하였다. 결과 비교는 자유장 지표면 및 상부구조에서의 응답스펙트럼, p-y 루프, 그리고 다양한 PGA 수준에서의 휨모멘트를 기준으로 수행하였다.
3D FE 해석으로부터 추출한 p-y 루프는 원심모형시험 계측값과 근접하게 일치하여, 말뚝기초의 동적해석이 원심모형시험 응답을 유사하게 모사할 수 있음을 보여준다. 또한 다양한 PGA에서의 동적 p-y 루프를 유사정적 해석 결과와 비교하였다. BNWF 모형에서 사용되는 API 곡선은 3D FE 해석으로부터 얻은 p-y 곡선 대비 지반 반력을 약 6배 과소평가하였다. 이는 API 기반 유사정적 해석이 관성 상호작용만을 고려하는 반면, 지진하중 조건에서의 운동학적 상호작용 및 말뚝-지반 경계면에서의 축방향과 횡방향 응답의 상호작용을 명시적으로 반영하지 못하는 한계와 관련될 수 있다. 따라서 동적하중 조건에서 API 곡선을 설계에 적용할 경우 과소평가 가능성에 유의할 필요가 있다. 아울러 지반 저항의 과소평가로 인해 휨모멘트가 최대 70 %까지 과소평가되는 결과가 나타났다. 따라서, 말뚝 기초의 지진 시 거동을 평가할 때는 유사정적해석과 함께 3D FE 해석 수행을 병행하여 결과를 비교한 후, 설계 목적과 요구 정확도에 따라 p-y 곡선의 강성 및 최대 저항을 보정하는 등 유사정적 BNWF 모델의 적용성을 합리적으로 개선할 필요가 있다.














