1. 서 론
2. 이론적 배경
2.1 국내 액상화 평가
2.2 CSR 산정 방법
2.3 CRR 산정 방법
2.4 유효응력 해석법 액상화 평가
3. 연구 대상 지역 및 가상 지진 시나리오
3.1 연구 대상 지역
3.2 가상 시나리오
4. 연구 방법
4.1 지반운동 결정
4.2 CSR 산정 전응력 지반응답해석
4.3 유효응력 지반응답해석
4.4 반복삼축압축 시험
5. 연구 결과
5.1 반복삼축압축 시험 결과 및 시뮬레이션 결과 비교
5.2 매개변수 결과 비교
5.3 지반응답 해석 결과
5.4 액상화 평가 결과
6. 결 론
1. 서 론
우리나라는 1978년 기상청 계기 지진 관측 이후 비교적 지진 안전지대로 인식되어 왔으나, 2016년 경주지진(ML 5.8)과 2017년 포항지진(ML 5.4)이 연속적으로 발생하면서 국내 지진 위험에 대한 경각심이 크게 높아졌다. 특히 포항지진은 규모가 경주지진보다 작았음에도 불구하고, 국내 계기 관측 이래 최초로 지표 액상화가 직접 관측된 사례로 기록되었다. 포항에서 발생한 모래분사 현상 사례는 우리나라에서도 액상화가 발생 가능함을 보였다.
국내에서 액상화 평가는 내진설계 일반(KDS 17 10 00)을 바탕으로 기존 시설물(기초 및 지반) 내진성능 평가요령(MOLIT & KISC, 2020) 등에 기초하여 수행되고 있으며, Seed & Idriss(1971)의 간편법, 실내 반복삼축압축 시험, 유효응력 해석, 동적 원심모형실험 등을 액상화 평가 방법으로 제시하고 있다. 이 중 실무에서는 비교적 간단한 입력 자료(SPT N값, 전단파 속도, 단위중량 등)으로 적용 가능하고 계산 절차가 비교적 단순한 Boulanger & Idriss(2014)의 경험식에 기반한 간편법이 가장 널리 사용되고 있다. 간편법은 지진 시 지반 내 반복전단응력비(Cyclic Stress Ratio, CSR)와 지반의 반복저항응력비(Cyclic Resistance Ratio, CRR)를 산정하고, 그 비인 안전율 FS=CRR/CSR을 통해 액상화 발생 여부를 판별한다.
그러나 간편법은 과거의 액상화 피해 이력을 토대로 구축된 경험적 상관관계에 의존하기 때문에, 데이터가 확보되지 않은 지반 조건인 경우 평가 결과의 신뢰성이 떨어질 수 있다는 한계가 지적된다(Idriss & Boulanger, 2008). 또한 간편법은 지반의 복잡한 동적 거동이나 지진 지속시간에 따른 과잉간극수압의 점진적 축적 양상을 직접 고려할 수 없다는 한계가 있다(Kramer, 1996).
이러한 경험적 방법의 한계점을 보완하기 위해 지진 시 지반 내 응력 상태와 간극수압 거동을 해석하는 유효응력 해석법이 활용된다. 유효응력 해석은 반복하중에 의한 전단응력, 변형률 거동 및 과잉간극수압의 축적 양상의 변화 과정을 시간 영역에서 추적할 수 있는 장점을 가진다. 유효응력 해석법은 Biot(1941, 1955)의 다공질 매질 이론과 유효응력 개념을 바탕으로, 액상화 발생 여부뿐만 아니라 강성 저하, 잔류 전단변형 등을 함께 평가할 수 있어, 단순한 안전율 비교에 비해 상세한 해석이 가능하다.
한편, 유효응력 해석법에서 토질의 동적 물성 및 구성모델 매개변수 설정 방식은 액상화 평가 결과에 큰 영향을 미치는 것으로 보고된다. 그러나 국내에서는 부지별 동적 특성 자료가 충분히 확보되지 않은 경우가 많아, 문헌·매뉴얼에서 제시된 문헌값을 적용해 유효응력 해석을 수행하는 사례가 존재한다. 이때 적용된 문헌값이 국내 지반의 실제 동적 거동을 적절히 대표하는지에 대한 검증이 제한적이라는 한계가 보고되었다(Jo et al., 2024).
따라서 국내 지반 조건을 반영하지 않은 매개변수를 그대로 적용할 경우, 실제 동적 거동과 액상화 저항을 과대 또는 과소평가할 가능성이 있다. 이러한 이유로 국내 지반 조건을 직접 반영하기 위해서는 대상 부지 시료를 이용한 반복삼축압축 시험 및 실내 동적 시험을 통해 응력–변형률 곡선 및 감쇠 특성, 과잉간극수압 발생 특성을 파악하고 유효응력 구성모델에 사용되는 매개변수 산정 및 보정하여 반영하는 절차가 필요하다.
본 연구에서 낙동강 삼각주 일대를 대상으로 상·중·하류를 대표하는 세 지점(Site 1~3)을 선정하고, 각 지점의 지층 구성, 전단파 속도(Vs), 지하수위 등 실제 지반 조건을 반영하여 액상화 평가를 수행하였다. Graves & Pitarka(2010, 2015))의 광대역 하이브리드 시뮬레이션 기법을 이용해 시나리오 지진에 대한 암반 입력 지반운동을 산정하였다. 이후 , 1차원 비선형 지반응답해석으로 층별 반복전단응력비(CSR)를 구하고 SPT N값 기반 간편법으로 심도별 안전율(FS)을 평가하였다. 동일한 지층 구조와 입력지진 조건을 바탕으로 유효응력 기반 지반응답해석을 수행하되, (1) OpenSees Wiki에 제시된 PDMY02 매개변수 대푯값과, (2) 낙동강 사질토 반복삼축압축 시험으로 산정한 PDMY02 매개변수를 각각 적용하였다. 마지막으로 지점 심도별 액상화 발생 구간을 도출하고 매개변수 변화에 따른 민감도 영향을 분석하였다. 이를 간편법 결과와 비교하여 국내 지반조건에서 간편법 적용성을 분석하고자 한다.
2. 이론적 배경
2.1 국내 액상화 평가
국내 액상화 평가는 내진설계 일반 KDS(2017 17 00)을 바탕으로, 기존 시설물(기초 및 지반) 내진성능 평가요령(MOLIT & KISTEC, 2020)을 마련하여, 세부적으로 구조물에 대한 내진성능 평가에 필요한 액상화 평가 절차 및 방법을 제시하고 있다. 액상화 평가는 크게 예비평가와 본평가로 나누어져 있다. 액상화 예비평가에서는 대상지반의 주상도, 입도 분포 곡선, 지하수위, 지반분류 등 지반조사자료를 바탕으로 액상화 발생 여부를 판단한다. 본평가는 액상화 발생 가능성이 존재하는 지반을 대상으로 현장시험과 부지특성 평가를 통해 지반응답해석을 실행하여, 깊이별 안전율을 산정한다. Fig. 1은 액상화 평가 흐름도이다.
본 평가에서는 반복전단응력비(CSR) 반복저항응력비(CRR)을 산정하여 Seed & Idriss(1971)가 제안한 Eq. (1)을 통해 안전율을 산정하는 절차이다. 안전율이 1.0 미만일 경우 기초 및 지반의 안정성 평가 및 액상화에 대한 대책공법을 진행해야 하며, 안전율이 1.0 이상인 경우 액상화에 대해 안전하다고 판단한다. CRR은 현장 시험 결과를 바탕으로 경험식을 통해 결정하거나 반복삼축압축 시험 결과를 통해 도출할 수 있다.
2.2 CSR 산정 방법
CSR은 지진 시 해당 깊이에서 지반에 발생하는 전단응력과 유효상재압의 비를 나타낸다. 이는 지반 응답 특성과 설계 지진의 규모 및 감쇠 조건에 따라 달라진다. CSR은 지반응답해석을 수행하여 Eq. (2)에 따라 결정한다. (τmax)d,GRA는 지반응답해석을 통해 얻은 최대전단응력이고, σv'는 깊이별 연직유효응력이다.
2.3 CRR 산정 방법
CRR(Cyclic Resistance Ratio)은 특정 깊이에서 반복하중에 저항하는 지반의 능력에 의해 결정된다. CRR은 현장 시험(SPT, CPT, Vs 등)의 결과로부터 산출할 수 있으며, 지반의 현장 조건을 고려하여 적용해야 한다. 또한, 비배수 반복삼축압축 시험 및 비배수 반복직접전단 시험을 통해 계산할 수 있다. Boulanger & Idriss(2014)는 표준관입시험 SPT-N값을 이용한 경험식을 제안하였다. 경험식은 Seed & Idriss(1971)의 간편법을 기반으로 이루어져 있으며, 세립분 함유율, 유효상재압 및 지진 규모의 영향을 경험적으로 보정하여, 서로 다른 지진 규모 및 현장 조건에서도 액상화 저항성을 비교·평가할 수 있도록 구성되었다. 세립분 함유율이 보정된 표준관입시험 (N1)60cs을 이용하여, 규모 7.5 지진 기준 CRR을 Eq. (3)과 같이 산정한다.
한편, Seed & Idriss(1971), Youd & Idriss(2001) 등에서 제시한 액상화 저항 곡선은 모멘트 규모 Mw=7.5 지진을 기준으로 반복저항응력비(CRR)를 정리한 것이다. 따라서 각 지역에서 예상되는 실제 지진 규모에 대응하는 CRR 값을 얻기 위해서는 지진규모보정계수(Magnitude Scaling Factor, MSF)를 적용하여야 한다.
지진 규모가 달라질 경우 반복하중의 지속시간과 사이클 수가 달라져 액상화 발생 가능성에 차이가 발생한다. 이를 보정하기 위해 규모보정계수(MSF)를 적용하며, Eq. (4)와 같다. 최종적으로 CRR7.5에 규모 보정계수를 고려하여 CRR을 산정한다.
2.4 유효응력 해석법 액상화 평가
지진과 같은 반복적인 진동 하중이 작용하면, 포화된 사질토 내부에서는 토립자 간 배열이 흐트러지면서 간극수압이 점차 증가한다. 이때 간극수압의 축적은 유효응력을 감소시키며, 결과적으로 흙의 전단저항이 급격히 약화되어 액상화가 발생할 수 있다. 이러한 물리적 과정을 수치적으로 모사하기 위해 개발된 것이 유효응력 해석법이다. Ahn et al.(2018)은 유효응력 지반응답해석 결과로 간극수압비를 산정하고 간극수압비가 1.0에 도달하는 시점을 기준으로 액상화 평가를 진행한 바 있다.
유효응력 기반 액상화 발생 판단 여부는 과잉간극수압비(ru)를 이용하여 산정할 수 있다. Wu et al.(2004)은 과잉간극수압비를 과잉간극수압 증가량(Δu)과 연직유효응력(σv′)의 비를 통해 산정하고, ru가 1.0에 도달하는 상태를 유효응력 소실에 해당하는 상태로 설명했다. 이때 ru는 Eq. (5)와 같이 산정된다.
유효응력해석법의 지반해석모델은 PM4Sand(Boulanger and Ziotopoulou, 2015), PDMY(Prevost, 1985), PIMY(Pressure-Independ-Multi-Yield, Yang & Elgamal, 2002), UBCSAND (Beaty & Byrne(1998), Beaty(2001), SANISAND (Dafalias & Manzari(2004) 등 다양한 모델이 존재한다. PDMY(Pressure-Dependent Multi-Yield) 모델은 포화된 모래나 실트층에서 반복적인 전단 하중에 의해 발생하는 간극수압의 축적과 그에 따른 강도 저하 현상을 모사하기 위해 개발된 유효응력 기반의 탄소성 모델이다. 이 모델은 유효응력의 변화에 따라 전단강도와 강성이 달라지는 토질의 비선형 거동을 직접 반영하며, 다수의 항복면을 이용하는 다중항복면 소성이론(multi-yield surface plasticity)에 기반을 둔다. 또한, Fig. 2에 나타난 것처럼 원추형 항복면을 적용하여 다양한 전단응력 상태에서의 변형 거동을 표현할 수 있다. 이러한 특성으로 인해 PDMY 모델은 지진 중 간극수압의 점진적 누적과 유효응력 감소로 인한 액상화 과정을 효과적으로 시뮬레이션할 수 있다.
3. 연구 대상 지역 및 가상 지진 시나리오
3.1 연구 대상 지역
낙동강 삼각주는 부산광역시 강서구 일대에 분포하며, 한반도 최대 규모의 삼각주로 알려져 있다. 이 지역의 퇴적환경은 제4기 신생대 후기부터의 해수면 변동에 의해 형성되었다. 이로 인해 낙동강 하구 일대에는 두꺼운 충적층과 상대적으로 느슨한 사질토, 지표면 부근의 높은 지하수위가 공존하는 지반 조건으로 이루어져 있으며, 이러한 지반 조건은 액상화 취약 조건으로 제시되었다(Youd & Idriss, 2001; Idriss & Boulanger, 2008). 본 연구에서는 이러한 낙동강 삼각주 인근을 대상으로 상류-중류-하류로 구분하여 대표 지점을 선정하여 Fig. 3에 나타내었다. 해당 지역에서의 지반정보 데이터는 Kim & Jeong(2022)의 상시미동 표면파(Microtremor Array Method, MAM) 분석 결과 및 국토지반정보포털(https://www.geoinfo.or.kr)에서 시추주상도 자료를 수집하여 Fig. 4에 나타내었다. 각 부지의 층상구조와 지하수위 분포 및 지층의 전단파 속도를 확인하였다. Site 1은 상부에 두꺼운 실트질 모래가 분포하고 그 하부에 자갈층 및 비교적 깊은 기반암이 나타나는 비교적 단순한 층상구조로, 두꺼운 충적층 조건을 나타낸다. Site 2는 상부 점토층이 포함되고 기반암 심도가 상대적으로 얕아, 세립분층 존재 및 층상 변화가 큰 전이구간 조건을 나타낸다. Site 3은 표층에 사질토가 발달하고 중간에 점토층이 삽입된 뒤 하부에 모래 및 자갈층이 분포하며, 기반암 심도는 중간 수준으로, 표층 사질토 발달 및 세립분 영향을 함께 고려할 수 있는 조건을 나타낸다. 또한 세 지점 모두 지표면 인근의 얕은 지하수위 조건이 확인되어, 포화 사질층에서의 액상화 가능성을 비교·분석하기에 적절하다.
3.2 가상 시나리오
낙동강 삼각주 지역은 양산단층, 울산단층, 일광단층, 동래단층 등 여러 활성단층이 분포한 한반도 동남권의 대표적인 지진 취약지대로, 제4기 퇴적층을 절단하는 단층 운동의 증거가 확인되어 공식적인 활성단층으로 분류되고 있다(Lee, 2017). 특히 양산단층대는 MW 6.5~7.5 규모의 지진 발생 가능성이 있는 것으로 추정된다(Kyung, 2010). Fig. 5는 낙동강 삼각주 인근에 분포하는 주요 활성단층 분포도를 나타낸다.
본 연구에서는 낙동강 삼각주 지역의 지반응답 및 액상화 발생 특성을 평가하기 위해, 해당 지역에 영향을 줄 수 있는 가상 지진 시나리오를 설정하였다. 선행연구(Kyung, 2010)에서는 남한 활성단층계에 대해 최대변위–지진규모 경험식을 적용하여 최대 지진규모가 평균 MW 6.8 내외로 평가된 바 있다. 다만 이러한 최대규모 추정은 고지진 자료의 한계와 경험식 적용에 따른 불확실성을 수반한다. 최근 시나리오 기반 지반운동 및 액상화 평가 연구(Jeong & Oh, 2023; Jo et al., 2024)에서는 MW 6.2 규모의 가상 지진을 적용하여 지반운동을 생성하고 액상화 평가를 수행한 바 있으며, 본 연구에서도 지반응답해석 및 액상화 평가를 진행하기 위해 MW 6.2 규모를 적용하였다. 따라서 본 연구에서도 선행연구와 동일한 규모의 가상 지진 시나리오를 적용하였다.
설정된 MW 6.2 가상 지진에 대한 입력지진파를 확보하기 위해, Graves & Pitarka(2010, 2015)가 제안한 물리기반 광대역 하이브리드 지반운동 시뮬레이션 기법을 적용하였다.
4. 연구 방법
4.1 지반운동 결정
Graves & Pitarka(2010, 2015)가 제안한 광대역 하이브리드 지반운동 시뮬레이션 기법은 전이 주파수를 기준으로 지반운동의 주파수 대역을 저주파수와 고주파수로 분리하여 각각 서로 다른 방법으로 산정한 뒤 하나의 시간이력으로 결합하는 방식이다. 먼저 단층 파열 특성과 지각 구조를 반영한 단층–지반 모델을 구성하고, 저주파수 대역은 파동전파 이론에 기반한 3차원 유한차분 해석으로 계산한다. 반면 고주파수 대역은 단층을 다수의 부단층으로 분할한 뒤 추계학적 절차를 이용해 각 부단층의 스펙트럼 응답을 생성·중첩하여 산정한다. 이후 두 대역에서 얻어진 결과를 주파수 영역에서 매끄럽게 접합하여, 장주기 성분과 단주기 성분을 동시에 포함하는 단일 광대역 지반운동 시간이력을 구성한다. 이때 전이 주파수 부근의 불연속을 최소화하기 위해 필터링과 테이퍼링을 적용하며, 본 연구에서는 4차 Butterworth 필터 기반의 매치-필터링 결합 절차를 사용하였다.
본 연구에서는 낙동강 삼각주 지역의 지반응답 및 액상화 발생 특성을 평가하기 위한 입력지진파를 확보하기 위해, 동래단층대에서 MW 6.2 규모의 가상 지진이 발생하는 시나리오를 설정하고 Graves & Pitarka(2010, 2015) 기법을 적용하여 암반 지진파를 생성하였다. 단층 모델은 운동학적 유한단층 모델링을 바탕으로 구성하였으며, 단층면의 크기와 파열 과정의 불확실성이 지진파에 미치는 영향을 확률적으로 반영할 수 있도록 주요 지진원 매개변수를 설정하였다. 단층 파열 면적은 Leonard(2010)의 모멘트 규모–단층면적 관계식을 적용하여 추정하였고, 가상 지진 시나리오의 입력값은 Table 1에 정리하였다.
Table 1.
Parameters of the hypothetical earthquake
|
Fault (degree) |
Laitude (degree) |
Longitude (degree) |
Depth (km) |
Magnitude (MW) |
Strike (degree) |
Rake (degree) |
| Dongrae | 35.28 | 129.1 | 70 | 6.2 | 24 | 170 |
지반운동 시뮬레이션은 국내 내진설계기준(KDS 17 10 00)이 액상화 평가를 위한 지반응답해석에서 암반층 입력지진파의 산정을 요구하나, 판내지진 환경과 유사한 실지진 기록 확보가 제한적이라는 점을 고려하여 수행하였다. 저주파수 대역의 지반운동은 지진원과 지진파 전파효과를 직접 모사하기 위해 3차원 점탄성 파동방정식을 유한차분법으로 해석하였으며, 이때 남한 3차원 지각 속도모델(Kim et al., 2017)을 사용하였다. 고주파수 대역은 국내 1차원 지각 속도모델(Kim et al., 2011)을 기반으로 하되, 고주파 해상도 한계를 보완하기 위해 미국 동부지역 1차원 속도모델의 상부층 정보를 병합하여 적용하였다. 또한 전파 감쇠 및 고주파 감쇠 특성은 국내 선행연구(Jo & Baag, 2003)를 참고하여 설정하였다. 최종적으로 저주파 및 고주파 성분은 4차 Butterworth 필터 기반 결합을 통해 0.1–20 Hz 범위의 광대역 암반 지진파로 구성하였으며, 본 단계에서는 낙동강 삼각주 지역의 퇴적층 구조를 직접 반영하지 않았으므로 생성된 시간이력은 암반 입력지진파로 간주하였다. 생성된 각 대상지(Site 1–3)의 가속도 시간이력은 Fig. 6에 제시하였다.
4.2 CSR 산정 전응력 지반응답해석
본 연구에서는 KDS 17 10 00에서 제시된 간편법 액상화 평가에 필요한 CSR 산정을 위하여 Deepsoil을 이용한 1차원 비선형 전응력 기반 지반응답해석을 수행하였다. 해석에서는 3.2절에서 광대역 하이브리드 지반운동 시뮬레이션 기법으로 생성한 암반 지진파를 지반모델 하부 경계에 입력하였다. 기반암 부분에 탄성암반 경계 조건으로 설정하여 암반에서 지표까지의 특성을 모사하였다. 대상 부지는 시추 주상도와 전단파 속도(Vs) 주상도를 바탕으로 층별 두께, 단위중량, Vs, 유효상재압 등을 정의하여 1차원 층상 지반모델로 구성하였다.
지반의 비선형 동적 거동은 General Quadratic/Hyperbolic(GQ/H) 모델(Groholski et al., 2016)을 사용하여 모사하였다. GQ/H 모델은 기존 단일 하이퍼볼릭(hyperbolic) 백본 곡선을 확장한 형태로, 작은 변형률 범위에서의 선형 탄성 거동과 큰 변형률 범위에서의 비선형 연화 거동을 동시에 재현할 수 있도록 설계된 경험적 모델이다. 반복하중 작용에 따른 이력감쇠(hysteretic damping)는 Phillips & Hashash(2009)가 제안한 Non-Masing 규칙을 적용하여 모사하였는데, 이는 전통적인 Masing 규칙이 언로딩(unloading) 및 리로딩(reloading) 구간에서 감쇠를 과대평가하는 한계를 보완함으로써 실제 지진하중 하에서 관측되는 히스테리시스 루프를 보다 현실적으로 반영할 수 있다는 장점이 있다.
지반의 비선형 특성은 전단탄성계수 G/Gₘₐₓ–전단변형률 및 감쇠비 D–γ의 관계로 정의하였으며, Deepsoil 내 Darendeli(2001)의 경험식을 기반으로 토질별 초기 G/Gₘₐₓ–γ 및 D–γ 곡선을 설정하였다. 사질토층(SM, SP 등)에 대해서는 평균 사질토(reference sand) 곡선을, 점성토층(CL, ML 등)에 대해서는 점토(reference clay) 곡선을 각각 적용한 후, Deepsoil 내 curve fitting 모듈을 이용하여 각 층의 유효상재압 및 예상 변형률 범위를 고려한 층별 보정을 수행하였다. 최종적으로 보정된 G/Gₘₐₓ–γ 및 D–γ 곡선은 각 심도에서의 전단강성 저하와 이력감쇠 특성을 반영하는 비선형 동적 물성으로 지반모델에 입력하여, 지진하중 작용 시 지반 비선형 응답을 재현하도록 하였다.
4.3 유효응력 지반응답해석
본 연구에서는 포화 사질토 지반에서의 간극수압 발생과 유효응력 변화 과정을 모사하기 위하여 OpenSeesPy를 이용한 1차원 유효응력 기반 지반응답해석을 수행하였다. 이 해석은 전응력 해석과 달리 지진하중에 따른 과잉간극수압의 축적 및 소산을 명시적으로 고려할 수 있어, 액상화 발생 메커니즘과 지반의 비선형 변형 특성을 평가하는 데 적합하다. 유효응력 해석에는 포화 사질토층에 Pressure-Dependent Multi-Yield 재료 모델(PDMY02)을 적용하였으며, 변위와 간극수압 자유도를 동시에 고려할 수 있는 9–4 node QuadUP 요소를 사용하여 토립자 골격과 간극수의 연성 거동을 모사하였다. 대상 부지는 시추 주상도와 전단파 속도(Vs) 주상도를 바탕으로 층별 두께, 단위중량, Vs, 유효상재압 등을 정의하여 1차원 층상 지반모델로 구성하였다.
경계조건은 모델 양측을 반무한 영역으로 가정하고 심도 좌우의 수평변위를 일치시키는 equalDOF 조건을 적용하였으며, 하부 경계에는 Lysmer & Kuhlemeyer(1969), Lysmer & Wass(1972)의 점성경계(standard viscous dashpot boundary)를 도입하여 암반에서 상향 전파되는 전단파의 반사를 최소화하였다. 하부 경계에는 3.2절에서 광대역 하이브리드 시뮬레이션 기법으로 생성한 암반 지진파를 가속도 형태로 입력하였다. 작은 변형률 영역 감쇠 특성은 Rayleigh 감쇠를 사용하여 감쇠비 5%가 되도록 설정하였으며, 시간 적분은 Newmark 방법을 적용하였다. 유효응력 해석의 신뢰성을 확보하기 위해 PDMY02 및 PIMY 모델의 주요 입력 매개변수는 문헌에서 제시된 값과 더불어 실내 반복삼축압축 시험 결과를 고려하여 보정하였다.
4.4 반복삼축압축 시험
본 연구에서는 포화 사질토의 반복하중 거동과 액상화 특성을 파악하고 PDMY02 재료모델의 입력 매개변수를 산정하기 위해 KS F 2498을 준용한 반복삼축압축 시험을 수행하였다. 시험은 영국 GDS사의 삼축압축시험기를 사용하여 포화–압밀–비배수 반복재하 순서로 진행하였다. 낙동강의 느슨한 조건을 모사하기 위해 상대밀도 Dr = 30, 40, 50%를 목표로 공시체를 제작하였으며, 제작 과정은 Fig. 7과 같다. Park et al.(2014)이 제시한 낙동강사의 물리적 특성(Table 2)을 바탕으로(emax, emin) 상대밀도를 산정하였다. 이후 자유낙하법을 준용하여 몰드 내에 시료를 낙하시키는 방식으로 조성하였으며, 추가 다짐을 가하지 않고 표면을 정리한 후 캡을 장착하는 과정으로 진행했다.
Table 2.
Basic properties of Nakdong river
| Gs | D10 (mm) | D30 (mm) | D60 (mm) | Cu | Cg | emax | emin | USCS |
| 2.626 | 0.274 | 0.346 | 0.499 | 1.82 | 0.88 | 0.947 | 0.617 | SP |
포화는 배압을 점진적으로 증가시키는 방법으로 수행하였고, Skempton(1954)의 B값이 0.95 이상일 때 완전 포화가 이루어진 것으로 가정하였다. 이후 유효구속압 100kPa를 목표로 등방압밀을 실시한 뒤, 배수밸브를 폐쇄한 비배수 조건에서 주파수 0.1Hz의 정현파 축방향 반복하중을 가하였다. 반복 횟수 500회 또는 축변형률 이 10%를 초과할 경우 시험을 종료하였다. 얻어진 응력–변형률–간극수압 응답을 활용하여 PDMY02 모델의 매개변수를 산출하였다. 유효응력 해석의 신뢰성을 확보하기 위해 PDMY02 모델의 주요 입력 매개변수는 OpenSees wiki의 PDMY02 대표값을 초기값으로 사용하되, 현장 각 층의 상대밀도(Dr)를 기준으로 반복삼축압축 시험 조건을 설정하고 시험 결과를 재현하도록 보정하였다. 시험시료는 층별 추정 Dr 수준을 바탕으로 반복삼축압축 시험을 진행하였다.
5. 연구 결과
5.1 반복삼축압축 시험 결과 및 시뮬레이션 결과 비교
초기 매개변수는 실내 반복삼축압축 시험 결과와 관련 경험식을 바탕으로 설정한 후, OpenSees의 PDMY02 재료모델을 이용해 동일한 구속압 및 하중 조건에서 수치해석을 수행하였다. 이후 수치해석과 실험 결과를 반복적으로 비교·보정하여 간극수압 발생과 잔류변형 축적 특성이 실험과 잘 일치하도록 매개변수를 조정하였다.
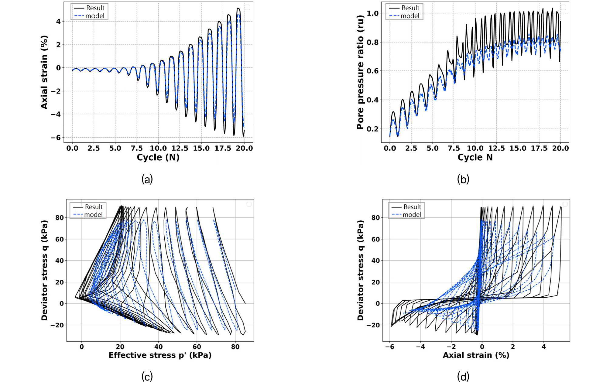
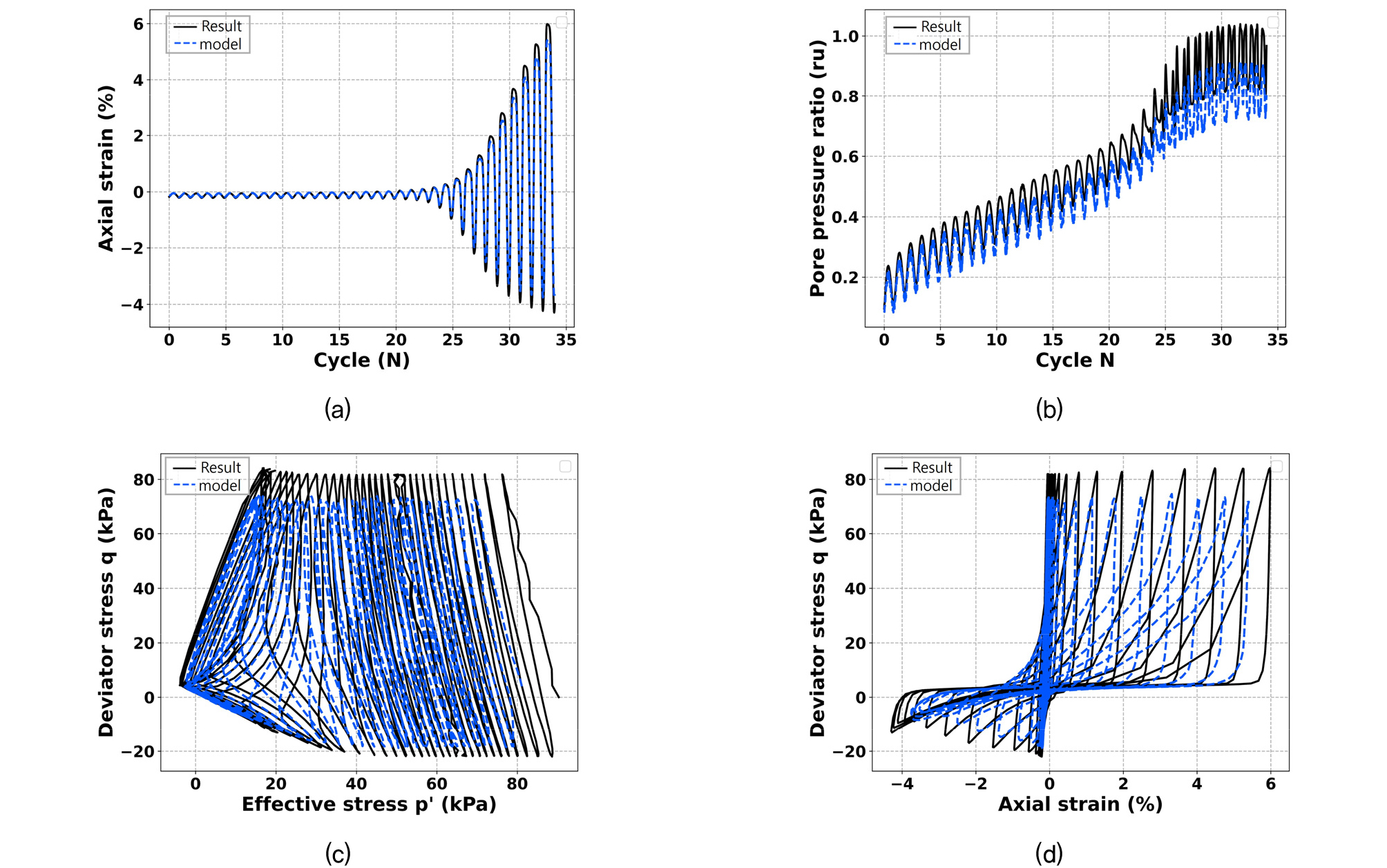
초기 강성 및 구속압 의존성은 전단탄성계수, 체적탄성계수, 구속압 등을 통해 응력–변형률 이력의 초기 기울기와 구속압 변화에 따른 강성 변화를 맞추도록 조정하였다. 전단강도와 비선형화 수준은 상대밀도에 따라 내부마찰각을 조정하여 전단저항 수준과 항복 이후 거동이 시험과 유사하도록 하였다. 간극수압의 축적은 비배수 조건에서 체적 수축 경향을 고려하여 소성매개변수를 중심으로 간극수압 상승 속도 및 액상화 도달 사이클 수를 보정하였으며, 액상화 이후의 잔류변형 및 유효응력 회복 양상은 dilat 1, dilat 3, liquefac 1, liquefac 2를 통해 추가로 조정하였다. 최종적으로 상대밀도 Dr = 30, 40, 50% 조건에 대해 축변형률, 과잉간극수압비, 유효응력 경로, 응력–변형률 이력곡선을 중심으로 실험과 해석 결과를 비교·분석하였으며, 결과를 Fig. 8, 9, 10에 제시하였다(검은선: 반복삼축압축 시험 결과, 파란선: 수치해석 결과).
전반적인 분석 결과를 종합해 볼 때, 상대밀도의 증가는 축변형률 및 과잉간극수압비의 누적 속도를 둔화시키고 액상화 도달 시점을 지연시키는 핵심 요인임이 확인되었다.
5.2 매개변수 결과 비교
Table 3, 4는 기존 PDMY02 대표값과 반복삼축압축을 통한 매개변수를 비교한 표이다. 전단탄성계수(refShearModul)와 체적탄성계수(refBulkModul)는 세 상대밀도 조건(Dr = 30, 40, 50%) 모두에서 PDMY02 대푯값 보다 작게 조정되어, 낙동강 사질토의 실제 강성이 예시 모래에 비해 전반적으로 낮게 평가됨을 보여준다. 내부마찰각(frictionAng)과 상 전이각(PTAng) 역시 Dr 증가에 따라 값은 증가하지만, 절대값은 문헌값보다 일관되게 낮게 산정되어, 특히 느슨한 상태에서 전단 저항이 상대적으로 작은 특성이 반영되었다. 수축 관련 파라미터(contrac 1, contrac 3)는 모든 상대밀도에서 PDMY02 대푯값 보다 감소하는 방향으로 측정됐다. 이는 반복하중 단계에서 과잉간극수압이 과도하게 증가하지 않게 나타난 것으로 해석된다. 반대로 팽창 파라미터(dilat 1, dilat 3)는 Dr 증가에 따라 전반적으로 증가하는 경향을 보이며, 조밀한 조건에서 더 뚜렷한 팽창 거동과 에너지 소산 능력을 나타내도록 설정되었다. 액상화 및 잔류변형 관련 liquefac 1은 모든 조건에서 동일하게 유지되었고, liquefac 2는 PDMY02 대푯값 보다 다소 작은 범위에서 Dr가 커질수록 소폭 감소하도록 조정되어, 상대적으로 조밀한 조건에서 잔류변형이 더 억제되도록 한 설정 경향을 보여준다.
Table 3.
Reference PDMY02 parameters from the OpenSees Wiki
Table 4.
PDMY02 parameters calibrated from cyclic triaxial tests
5.3 지반응답 해석 결과
본 연구에서는 Deepsoil과 OpenSeesPy를 이용하여 Site 1~Site 3에 대한 전응력 및 유효응력 기반 1차원 지반응답해석을 수행하였다. Fig. 11, 12는 각 Site에 Deepsoil 전응력 해석과 OpenSeesPy 유효응력 해석(PDMY02 대표값, 반복삼축압축 시험을 통한 PDMY02 매개변수) 간의 입력 암반 가속도, 지표 가속도 시간이력 및 응답 스펙트럼 (pSA)를 나타낸다.

Fig. 11
Acceleration time histories from the input ground motion and site response analyses at the studied sites: (a) Site 1, (b) Site 2, (c) Site 3. In each panel, the black trace denotes the input acceleration record, the blue trace shows the response from the total-stress analysis, the red trace corresponds to PDMY02 using representative (literature) parameter values, and the gray trace represents PDMY02 using parameters calibrated from cyclic triaxial compression tests
전응력 해석(Deepsoil)에서 산정된 지표 가속도 시간이력을 보면, 세 부지 모두 최대가속도는 입력지진파와 유사하거나 다소 감소하는 경향을 보였다. 이는 연약한 퇴적층을 통과하는 과정에서 고주파(단주기) 성분이 비선형 감쇠에 의해 필터링된 결과로 해석된다. 유효응력 해석에서 PDMY02의 대표값 매개변수를 적용한 경우, Site 1–3에서 전응력 해석 결과보다 다소 큰 응답을 나타내는 경향이 확인되었다. 또한 반복삼축압축 시험으로 산출한 PDMY02 매개변수를 적용한 경우 PDMY02 대표값 매개변수를 적용한 결과와 유사한 응답을 보였으나, Site 1에서는 PDMY02 대표값 매개변수 적용 결과보다 다소 낮은 응답을 나타냈다. 응답스펙트럼(pSA) 분석 결과, Site 1에서는 모든 해석 결과에서 입력지진파 대비 단주기 영역에서 감쇠하고 장주기 영역에서 증폭되는 특성이 나타났다. Site 2와 Site 3에서도 유사한 경향이 관찰되었으며, 전응력 해석에서는 단주기 영역에서 감쇠가 두드러지고 장주기 영역에서 증폭하는 경향을 보였다. 반면 유효응력 해석에서는 단주기 영역에서 입력지진파와 유사한 경향을 보이면서도 장주기 영역에서 상대적으로 큰 응답이 나타났다. 장주기 영역에서의 응답 증폭은 낙동강 삼각주의 깊고 연약한 퇴적층 특성에 기인한 것으로 판단된다.
5.4 액상화 평가 결과
5.4.1 간편법 액상화 평가 결과
간편법은 SPT-N값을 이용하여 심도별 액상화 안전율(FS)을 산정하는 방법으로, 본 연구에서는 KDS 17 10 00와 Seed & Idriss(1971) 경험식을 적용하여 산정하여 Fig. 13에 나타냈다. 그 결과, Site 1에서는 지하수위 하부 약 3.0m부터 대부분 심도에서 FS가 1.0 이하로 산정되어 사질토층 전반에 걸친 액상화 발생 가능성이 나타났다. Site 2에서는 2.5m 부근에서 안전율이 1.0 이하로 산정되어 상부 사질토층 전반에서 액상화 가능성이 있는 것으로 나타났으며, Site 3에서는 상부 모래층 대부분에서 FS가 1.0 이하로 나타났지만 7.0–10.0m 부근에서 다소 증가하는 양상을 보여 상대적으로 Site 1, 2보다 액상화 위험이 낮게 평가되었다.
이러한 경향은 간편법이 SPT-N 등 현장 자료에 기반한 경험적 상관관계에 의존하기 때문에, 지진동의 지속시간, 반복전단에 따른 간극수압의 누적, 층간 상호작용과 같은 시간의존적·비선형 거동을 직접 반영하지 못하는 데서 기인한 것으로 해석된다. 따라서 동일한 토층이라도 실제 반복전단 거동 및 수축·팽창 특성이 충분히 반영되지 않을 수 있으며, 그 결과 부지·심도에 따라 취약 구간의 범위가 방법 간 차이가 발생할 수 있다.
5.4.2 PDMY02 대표 매개변수를 적용한 유효응력 액상화 평가 결과
PDMY02 대표값 기반 유효응력 해석은 OpenSees에 제시된 대표적인 사질토 동적 물성을 사용하여 PDMY02 구성모델을 설정하고, 시간이력 해석을 통해 최대 과잉간극수압비(ru)의 심도별 분포를 산정한 것이다. ru는 Eq. (5)를 통해 산정하여 Fig. 14에 나타냈다. Site 1에서는 지하수위 하부 약 8.0–10.0m 구간에서 ru ≥ 1.0에 도달하여 해당 심도에서 유효응력이 소산되고 액상화가 발생할 가능성이 큰 것으로 나타났다. Site 2에서는 전 심도에서 ru < 1.0으로 유지되어 액상화 가능성이 전반적으로 낮은 것으로 평가되었으나, 약 3.0m 부근에서는 ru가 1.0에 비교적 근접하여 국부적인 액상화 가능성이 시사되었다. Site 3에서는 약 4.0–7.0m 구간에서 ru가 1.0에 근접하여 상부 사질토층 내에서 국부적인 액상화 발생 가능성이 있는 것으로 평가되었고, 그보다 깊은 심도에서는 ru가 감소하였다.
이와 같은 결과는 PDMY02 대표값 기반 유효응력 해석이 전단탄성·체적탄성, 수축/팽창 특성, 감쇠 특성 등 동적 물성을 이용해 반복 전단 시 간극수압 발생과 유효응력 소실 과정을 모사하는 과정에서 발생한 것으로 판단하였다. 다만 사용된 매개변수는 일반화된 모래에 대한 문헌값으로, 실제 낙동강 사질토의 지역 특성은 충분히 반영하지 못한다. 그 결과, 간편법에 비해 간극수압의 거동과 층간 상호작용을 더 현실적으로 표현하지만, 대상 부지에 최적화된 매개변수라기보다는 ‘대표 모래’에 대한 응답을 보여준다는 한계가 존재한다.
5.4.3 반복삼축압축 시험 기반 매개변수를 적용한 유효응력 액상화 평가 결과
반복삼축압축 시험으로부터 산정한 동적 물성을 사용한 유효응력 해석에서는, 낙동강 사질토의 수축·팽창 및 액상화 저항 특성을 반영한 PDMY02 매개변수를 적용한 후 동일한 지진동을 입력하였다. 그 결과를 Fig. 15에 나타냈다. Site 1에서는 지하수위 하부 약 8.0m 부근에서 ru가 1.0에 근접하거나 도달하여 이 구간에서 액상화가 발생할 수 있는 것으로 나타났고, 그보다 얕은 2.5–5.0m 구간에서는 ru가 0.4–0.8 수준에 머물며, 액상화 가능성이 낮게 평가되었다. Site 2에서는 지하수면 하부 약 2.0m 부근에서 ru가 비교적 높게 나타나지만 전체 심도에서 ≤ 1.0 수준에 머물러, 지진하중에 따른 부분적인 간극수압 증가는 있으나 전면적인 액상화 발생 가능성은 낮은 것으로 분석되었다. Site 3에서는 지하수면 아래 약 4.0–5.0m 구간에서 ru가 1.0에 도달하여 국부적으로 액상화가 발생할 수 있는 것으로 평가되었으며, 9.0–10.0m 심도에서는 ru가 점차 감소해 심도가 깊어질수록 액상화 가능성이 작아지는 경향을 보였다.
이러한 경향은 반복삼축압축 시험 기반 매개변수가 대상 시료의 실제 동적 특성(수축·팽창 거동, 액상화 저항)을 반영했기 때문에, 각 부지의 상대밀도·구속압 조건에 따른 임계 심도 및 액상화 범위를 보다 국부적으로 나타내는 결과로 해석된다.
6. 결 론
본 연구에서는 Boulanger & Idriss(2014)가 제안한 간편법의 국내 적용성 분석을 위해, 간편법과 유효응력 해석법을 병행하여 낙동강 삼각주 지역 3개 부지에 대한 액상화 평가를 수행하였다. 지진 발생 시 액상화가 발생할 가능성이 존재하는 지역을 대상으로, 연구 대상지 인근 동래단층에 가상 지진 시나리오를 설정하고 광대역 하이브리드 지반운동 시뮬레이션을 통해 입력 지반운동을 생성하였다. 유효응력 해석에는 OpenSees 플랫폼에서 제공하는 PDMY02 과 PIMY 재료 모델을 적용하였으며, 플랫폼에서 제공하는 PDMY02 대표값 및 낙동강사 시료에 대한 실내 반복삼축압축 시험을 통해 산출한 동적 특성을 반영하여 해석을 수행하였다. 간편법에서 CSR–CRR 비로 산정되는 액상화 평가는 경험적 상관관계에 기반한 판정인 반면, 유효응력 기반 해석에서의 액상화 평가는 과잉간극수압의 증가와 이에 따른 유효응력 감소를 근거로 한다. 따라서 CSR–CRR 판정 결과를 유효응력 해석의 특정 상태와 1:1로 직접 대응시키기는 어렵다. 본 연구는 이러한 방법론적 차이를 전제로, 동일 입력지진과 동일 지반조건에서 SPT N값 기반 간편법의 판정 결과와 유효응력 해석의 응답 및 판정 결과를 정성적으로 제시하고, 평가 방법에 따른 결과 차이를 비교·논의하였다. 아울러 유효응력 해석에 사용되는 재료 매개변수(PDMY02의 문헌 기반 대표값과 실내시험 기반 추정값)가 해석 결과에 미치는 영향을 확인하기 위해 매개변수를 달리한 해석을 수행하고 그 민감도를 분석하였다.
(1) 입력 매개변수에 따른 유효응력 액상화 평가 결과 분석을 위해 낙동강사를 이용한 실내 반복삼축압축 시험을 진행하였다. 시험 결과 PDMY02 대표값 대비 낮은 전단강성과 내부마찰각이 산정되었다. 이를 반영한 유효응력 해석 결과 반복삼축압축 시험 기반 매개변수를 적용한 경우, PDMY02의 관련 매개변수(contrac 1/contrac 3)가 PDMY02 대표값 대비 감소하고 팽창 관련 매개변수(dilat 1/dilat 3)가 일부 증가하여, 간극수압이 전 심도에 균등하게 축적되기보다는 전단변형이 집중되는 취약층에서 크게 축적되었다. 그 결과 PDMY02 대표값 적용 대비 과잉간극수압 축적 및 액상화 발생 심도가 보다 국부적으로 예측되는 경향을 보였다.
(2) 세 가지 액상화 평가 방법(간편법, 유효응력해석–PDMY02 대표 매개변수, 유효응력해석–반복삼축압축 시험 기반 PDMY02 매개변수)을 비교한 결과, 동일 입력지진 및 동일 지반조건에서도 평가 지표와 모델 가정의 차이로 인해 부지 및 심도에 따라 액상화 취약 구간의 범위와 분포가 상이하게 나타났다. Site 1의 중간 심도(7.5m)에서는 세 방법 모두 액상화 발생 가능성을 시사하였으나, 심도 증가에 따른 취약성 변화 양상은 방법에 따라 차이를 보였다. 유효응력해석은 시간이력 하에서 반복전단에 따른 간극수압 누적과 유효응력 소산 과정을 모사함으로써 특정 심도에서의 변형 집중 및 국부 취약층의 영향을 상대적으로 상세히 반영하는 반면, 간편법은 SPT-N 기반 경험식을 통해 FS를 산정하므로 자료 요구가 적고 적용이 간편하나 시간이력 효과(지진 지속시간에 따른 누적), 층간 상호작용 및 수축·팽창 거동의 차이를 직접 반영하는 데 한계가 있다. Site 2에서는 간편법이 2.5-10.0m 구간에서 FS<1.0을 제시한 반면, 유효응력해석(PDMY02 대표값)은 대부분 구간에서 ru가 1.0에 도달하지 않는 등 서로 다른 취약 범위를 제시하였다. 이는 두 방법이 각각 CSR–CRR 기반의 경험적 방법과 과잉간극수압비 기반의 유효응력 거동 모사라는 서로 다른 판정 기준을 사용하기 때문이다. 또한 본 연구는 관측 기반 검증자료(현장 사례, 모형실험 등)와의 직접 비교를 수행하지 않았으므로, 특정 방법이 다른 방법에 비해 액상화 취약성을 과대·과소평가한다고 일반화하기보다는 각 방법의 가정과 적용 범위를 고려하여 결과를 해석하는 것이 적절하다. 또한 유효응력해석 내에서도 PDMY02 대표값과 반복삼축시험 기반 매개변수 적용 시 취약 구간의 위치 경향은 유사하되, ru축적 분포 및 취약 범위에서 차이가 나타나 매개변수 설정이 결과에 영향을 미칠 수 있음을 확인하였다.
(3) 연구 결과, 현행 간편법은 부지 조건에 따라 실제 거동보다 보수적이거나 혹은 반대로 위험을 과소평가하는 경향을 보였다. 평가 방법 및 매개변수 설정에 따른 결과에서 차이가 존재했다. 따라서 실무 적용 시 (i) FS가 1.0 전후로 분포하는 심도 구간, (ii) 지하수위 직하부의 얕은 사질층, (iii) 전단변형 발생 가능층이 존재하는 경우에는 간편법 단독 판정에 주의가 필요하다. 특히 주요 사회기반시설이나 액상화 발생 가능성이 높은 부지에서는 간편법에만 의존하기보다, 현장 시료를 이용한 반복삼축압축 시험을 통해 액상화 저항성을 직접 평가하고, 시험 결과를 반영하여 보정된 매개변수를 적용한 유효응력 해석을 병행하는 것이 바람직하다.
















